时间:2024-08-02 08:32
人气:
作者:admin
院校简介
西安邮电大学是一所以工为主,以信息科学技术为特色,工、管、理、经、文、法、艺多学科协调发展的普通高等学校,是我国特别是西北地区信息产业和现代邮政业人才培养、科学研究的重要基地。
学校前身是1950年成立的陕西和甘肃两省邮电人员训练班及随后的西安邮电学校。1959年经国务院批准设立西安邮电学院,是国家在西北地区重点建设的唯一邮电类普通高校,2012年更名为西安邮电大学。学校先后隶属于邮电部和信息产业部,2000年划转到陕西省,现由陕西省人民政府与工业和信息化部共建,是陕西高水平大学建设高校、陕西省“一流大学、一流学科”建设高校、教育部“卓越工程师教育培养计划”实施高校、全国首批试办边防军人子女预科班的高校、西北地区唯一承担亚太电信组织和东盟培训任务的高校。
通信与信息工程学院(人工智能学院)是在原通信工程系基础上组建而成,学科和专业建设的历史可追溯至1959年西安邮电学院建院之初。拥有通信工程、物联网工程、人工智能、信息工程、电子信息科学与技术、广播电视工程、电信工程及管理7个本科专业。经过60多年的建设与发展,学院已成为西安邮电大学学科实力突出、专业优势明显、师资力量雄厚、历史渊源深远的学院之一。学院先后荣获陕西省教育系统精神文明建设先进集体、陕西省师德建设先进集体、陕西省教育系统先进集体、陕西省师德建设示范团队、全省高校党建“双创”标杆院系、陕西省高等学校创新创业教育改革试点学院等称号。
2►
培训情况
创龙教仪联合西安邮电大学共同建设DSP课程相关实验室,在通信与信息工程学院(人工智能学院),DSP技术实验室,针对DSP相关课程,探讨了该课程的应用方向并制定了学生课程学习的培养计划。

TL28335-PlusTEB相关实验(部分) | |
DSP实验环境搭建与CCS开发基础 | 安装CCS与串口调试工具 编写基于C语言的DSP程序 |
DSP基础外设实验 | LED灯控制实验 4x4键盘输入控制实验 ECAN内部回环与数据通信实验 DMA在RAM内外搬移数据实验 UART串口收发实验 定时器/计数器控制实验 模数转换(A/D)测试实验 交通灯控制实验 |
电机控制类实验 | 直流有刷电机控制实验 减速编码电机控制实验 步进电机控制实验 BLDC开环控制实验 PMSM开环控制实验 |
语音类实验 | 音频采集与播放测试实验 G711A音频编码实验 G711A音频解码实验 |
DSP算法实验 | 有限冲激响应滤波器(FIR)算法 无限冲激响应滤波器(IIR)算法 快速傅立叶变换(FFT)算法 语音信号的FIR滤波 模拟DVR算法 |
图像类实验 | 灰度图像直方图 直方图均衡化 图像反色 边缘检测 |

参与培训的老师和学生们对TL28335-PlusTEB相关实验操作表现出十足的热情,并对创龙教仪专业的技术能力与认真的工作态度表示了肯定。
3►
特色案例
实验名称:
减速编码电机控制实验
实验目的:
(1)理解PID控制原理;
(2)学习增量式PID算法的原理;
(3)掌握PID闭环控制电机的实现。
实验原理:
模拟PID控制原理
在过程控制中,按偏差的比例(P)、积分(I)和微分(D)进行控制的PID控制器(亦称PID调节器)是应用最为广泛的一种自动控制器。PID控制器原理简单,易于实现,适用面广,控制参数相互独立,参数的选定比较简单。
模拟PID控制系统的常规原理框图如下图所示。系统由模拟PID控制器和被控对象组成,r(t)是给定值,y(t)是系统的实际输出值,给定值与实际输出值构成控制偏差e(t)。
e(t)=r(t)-y(t)
控制偏差e(t)是PID控制的输入,u(t)是PID控制器的输出和被控对象的输入。模拟PID控制器的控制规律为


控制器的输出与输入误差信号成比例,当仅有比例控制时系统输出存在稳态误差。在模拟PID控制器中,比例控制的作用是对偏差瞬间做出反应。偏差产生后控制器立刻起控制作用,使偏差变小。比例系数Kp决定了控制作用的强弱,Kp越大,控制作用越强,过度越快,偏差也就越小。但是Kp越大,也更加容易产生振荡,破坏系统的稳定性。因此,比例系数Kp必须选择适当,才能使过渡时间变小,偏差小又稳定。
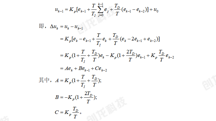
增量式PID算法
数字式PID控制算法可以分为位置式PID和增量式PID控制算法。在本实验中使用的增量式PID算法。增量式PID控制算法只需要计算控制量的增量。

可得控制器在第k-1个采样时刻的输出值为:

如果采用恒定的采样周期T,一旦确定了A、B、C,只要使用前后3次测量值的偏差,就可以求出控制增量。
除此之外,还有另一种算法:

PID算法程序解析
打开光盘资料中的"Demo\KingBox\Application\DC_GEAR_MOT\main.c"文件,可查看相关代码。比例常数、积分时间常数、微分时间常数和调控周期如下:

主函数中首先初始化系统控制,配置CPU主频、寄存器和初始化PIE控制等。调用InitMeasureSpeed函数初始化时钟、中断等。InitMeasureSpeed函数如下:

InitMeasureSpeed函数中,cpu_timer0_isr定时器中断函数中定时采集速度,并用于PID算法。freq.freqhz_pr为采集的电机脉冲数,M0_PWM_ON为高电平时间,M0_PWM_ON_NEW为新的高电平时间,PWM_ON_PID是经过PID算法后的高电平时间。cpu_timer0_isr定时器中断函数如下:

实验步骤
(1)对实验设备进行硬件部分连接,连接好仿真器和USB串口线(默认为USB to UART串口输出)并上电。
(2)右击计算机图标,点击“设备管理器->通用串行总线控制器”或者“设备->端口(COM和LPT)”,查看是否有对应的仿真器的选项出现,如有说明仿真器驱动已经正常安装,否则请先正确安装CCS。同时查看串口的端口号。
(3)打开串口软件并设置串口调试工具,波特率为115200。
(4)按照工程导入步骤导入光盘资料"Demo\KingBox\Application"路径下的DC_DEAR_MOT工程。
(5)编译工程生成DC_DEAR_MOT.out的可执行程序。
(6)实验箱上电,确认仿真文件(.ccxml 文件)配置,并连接CPU。
(7)加载DC_DEAR_MOT.out可执行程序,并运行程序,本实验的功能是实现PID闭环控制电机。
实验现象
运行程序之后,串口显示如下图所示:

同时,数码管显示电机的转速和转向(0是转速,F代表顺时针转),如下:

第一次按下按键1后,减速直流电机开始顺时针(Forward)转动,占空比(DutyCycle)约为12%,转速(Speed)约为60R/min,显示如下图所示:

按下按键3后,电机会停止转动,同时串口打印电机转向为逆时针(Backward),电机转向由顺时针改为逆时针,如下:

4►
设备概述
//

产品型号:TL28335-PlusTEB
处理器类型:TMS320F28335
应用领域:测控、自动化、工业控制、电力控制、电机控制
NVIDIA RTX PRO 4500 Blackwell GPU测试分析