时间:2023-09-02 09:47
人气:
作者:admin
在发射线圈施上交流电压,产生交流电流并在空间生成交流磁场,
该磁场在接收线圈感应用电动势,并通过调理电路处理,最终得到电压信号送入处理器,计算得到待测物导致的发射信号与接收信号之间的相位差,
根据这一相位差判断待测物的类型。
不存在待测物的情况
当不存在待测物时,发射线圈的等效电路由电阻和电感组成,如下图:

发射线圈等效电路
其中R1为线圈电阻,其电阻值大概为4Ω;L1为线圈电感,其电感量大概为 10mH。
其阻抗
表示为:

存在待测物的情况
发射线圈通入交流电流I1时,线圈周围产生一个交变磁场H1。
当待测物位于线圈磁场范围内时,待测物内部生产感应涡流电流I2,
涡流信号在待测物附近产生交变磁场H2,涡流的中心之处H1和H2同轴但是方向相反。
因此,原有外部磁场被削弱,导致线圈的等效阻抗、相位均发生变化。

涡流示意图
线圈和待测物视为两个互感的耦合线圈。
等效电路如图所示:

待测物涡流影响下的等效电路
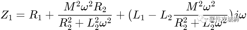
其中R1为发射线圈的电阻,L1为发射线圈的电感,R2为待测物涡流效应的等效电阻,L2为待测物涡流效应的等效电感,M为发射线圈与待测物之间的互感。
根据基尔霍夫定律,在发射线圈侧,有:

在待测物侧,有:

联立上述两式,求解,得到:


对于不同类型的待测物,由于待测物的影响,
将使得发射线圈的等效电阻增大,而等效电抗可增大,或者减少。
通过判断等效电抗增大或者减小,实现对待测物进行分类。
审核编辑:刘清
NVIDIA RTX PRO 4500 Blackwell GPU测试分析