时间:2023-08-12 15:44
人气:
作者:admin
今天跟大家聊点更加贴合实际应用的。不知道你在DC-DC应用中有没有遇到过,由于负载变化导致负载电流翻倍的情况,那Buck电路的电感参数也需要做相应调整。于是就有了今天要讨论的内容。
一道面试题

照例,先抛出来一道面试题“Buck电路在其他参数不变的条件下,当负载电流从1A增大到2A,电感感值该如何调整?”。这道题可能是面试官“刻意地”随口一问,但整不好就是送命题。怎么样,调大还是调小?随便选一个,都有50%的胜算。你会怎么选呢?
自我感觉良好的答案
有小伙伴认为负载电流增大,电感就应该需要更大的通流能力,就应该需要更大的电感。因此电感感值需要调大。
这个解释看起来,逻辑上没毛病,道理也讲的通,自我感觉良好。但却顺顺利利的得了0分。为啥呢?因为答题者这么回答,说明他并不清楚Buck电路中负载电流与电感之间的逻辑关系,仅仅是想当然的猜测。下面我们来讨论下正确的解题思路。
第一种维度--电感计算公式
如果你看过这篇《纯干货!DC-DC的电感计算公式推导过程!》,或者你知道Buck电路电感L的计算公式(如下公式),那恭喜你,这道题就变成了送分题!

从上式可以看出,L和Io是反比关系。当Io增大一倍,在其他参数不变的条件下,那么L需要调整到原来的一半。如果你不知道这个,没关系,正好可以跟着我从另外一个角度来看这个问题。
第二种维度--电流纹波率
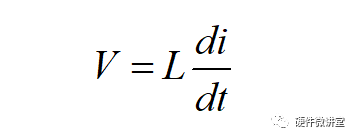
上面是从L计算公式来推导。公式有些复杂,现在假设我们不知道,那该如何分析这个问题。前面我们讲过电感最重要的公式(没有之一):

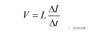
在此基础上进行离散化,公式则变形为:

对公式做进一步变形,则可以得到电感纹波电流ΔI等于:

注意看这个公式,V*Δt不就是前面我们提到的伏秒积么?而伏秒积除以电感,怎么理解?我们讲速度指的是单位时间(每秒钟)内物体移动的距离(米),所以速度是距离除以时间。这里伏秒积除以电感,可以理解为单位电感内所积累的伏秒积。所以,电感纹波电流ΔI指的是单位电感内积累的伏秒积。

讲完纹波电流,我们再说下电流纹波率r,它是电感纹波电流与电感直流分量的比值。通常取值范围是0.3~0.5,取值0.4是最优。它是DC-DC转换电路一个至关重要的参数,
对于Buck电流,负载电流Io等于电感直流分量Idc。这样就在负载电流Io和纹波电流ΔI之间建立了联系。
当Io(Idc)增大一倍时,为了保证r依旧保持原有值,ΔI也需要相应增大一倍。而Io的增大,对伏秒积V*Δt并没有影响。ΔI要增大一倍,V*Δt不变,L就只能减小为原来的1/2。因此电感需要调小到原来的一半。
总结
总结下,本文从两个不同的维度构建负载电流Io与电感L之间的关系,解释了Buck电路,负载电流增大,电感该如何调整。
1)维度一:电感的计算公式;
2)维度二:电流纹波率r;
另外重点介绍了电感纹波电流ΔI和电流纹波率r这两个概念。
3)电感纹波电流ΔI等于单位电感内积累的伏秒积。
4)电流纹波率r是电感纹波电流与电感直流分量的比值。
以上所述,部分内容涉及个人理解,如有觉得不妥,欢迎留言讨论。
怎么样?一个简短的问题,给出的回答可浅可深,就看你对这个知识点的理解达到怎样的程度。你学废了么?
审核编辑:刘清
NVIDIA RTX PRO 4500 Blackwell GPU测试分析