全球最实用的IT互联网信息网站!

AI人工智能P2P分享&下载搜索网页发布信息网站地图

当前位置:诺佳网 > 电子/半导体 > 处理器/DSP >

详细阐述Kalman滤波模型

时间:2023-08-09 14:31

人气:

作者:admin

标签: 阐述  模型  详细  Kalman  滤波 

导读:本文我们将详细阐述Kalman滤波模型。作为最为经典的一个滤波模型,它在量化投资的金融经济数据处理中有重要的作用。...

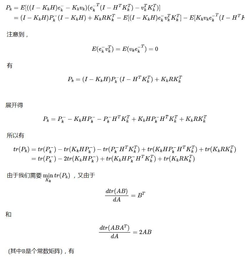
本文我们将详细阐述Kalman滤波模型。作为最为经典的一个滤波模型,它在量化投资的金融经济数据处理中有重要的作用。

一、一个引例

假设台上放着一枚硬币,我们想知道这枚硬币的直径x大小到底等于多少。而众所周知,每个人的测量都有或多或少的误差。于是我们取k个人测量的平均值作为我们对硬币直径x的估计,便有

1.jpg

1.jpg

1.jpg

1.jpg

2.jpg

3.jpg

1.jpg

2.jpg

3.jpg

温馨提示:以上内容整理于网络,仅供参考,如果对您有帮助,留下您的阅读感言吧!
相关阅读
本类排行
相关标签
本类推荐

CPU | 内存 | 硬盘 | 显卡 | 显示器 | 主板 | 电源 | 键鼠 | 网站地图

Copyright © 2025-2035 诺佳网 版权所有 备案号:赣ICP备2025066733号
本站资料均来源互联网收集整理,作品版权归作者所有,如果侵犯了您的版权,请跟我们联系。

关注微信