时间:2023-08-02 15:42
人气:
作者:admin
续上一集,LTspice(3) 差放分几种玩法?基于CSA23x-1

通过简单的例子大概知道怎么去写一个仿真模型,就像是画电路图将网表直接写出一样,根本不需要原理图直接画pcb那么骚。感觉比直接画原理图还要有意思的多。
有点像是凭空搭洞洞板的感觉。记得读书时候考试科目就是拿洞洞板搭电路。
回到正题,之前语句中使用了E1 这个东西,那么E1是做什么用的?
.subckt div N1 N2 GND
R1 N1 0 100k
E1 N2 0 N1 0 50
.ends div
打开LTspice帮助找到以下页面 点到 voltage dependent voltage 里面有关于电压源的描述


大概意思就是说,输出电压是N+和N-输入电压是Nc+和NC-其关系是两个之间的GAIN的倍数。因为CSA23设置的是50倍所以我们整个50倍的。
*
* This is the circuit definition
.subckt CSA23 IN+ IN- VOUT REF GND
*set input and output pins
*the setting gain is equal to 50
*join to network Vo
E1 VO REF IN+ IN- 50
*join to offset 1mV m=micro Meg=mega
E2 VOUT REF value={V(VO,REF)+1m}
.ends CSA23
其中第9行代码写到,value={V(VO,REF)+1m}这个似乎没有看过,接着往下拉。

他是可以支持自定义表达式的,就是说你想要什么对应关系直接把你想要的对应关系写进去就行,这里我只加个offset。新建器件仿真得出下图。50倍增益1mV的失调电压。基本function有了可以开始整活了。

上回似乎说到用ldo做恒流源,但是此次可以用CSA23做恒流源。其实现如下

R1100mAGAIN+offset=5V所以其电流约等于99.98mA,当然初始误差可以通过dac校准掉,对我们没有多大影响,但是共模的变化就会导致误差动态变化,这个就比较难校准掉,所以建议选择共模抑制比比较好的运算放大器。

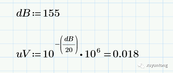
CSA2302的CMRR在0~76V的范围内典型值为155db,代入计算。
db和倍数的关系是这样
20log(10,AV)=db

得出的是输入的共模电压每变化1V那么输出电压变化0.018uV
既然如此那我们再次更新下模型。
*
* This is the circuit definition
.subckt CSA23 IN+ IN- VOUT REF GND
*set input and output pins
*the setting gain is equal to 50
*join to network Vo
E1 VO REF IN+ IN- 50
*join to offset 1mV m=micro Meg=mega
E2 VOUT REF value={V(VO,REF)+1m+V(IN-,0)*0.018u}
.ends CSA23

看到不同共模电压变化的时候输出电压变化并不是特别大。其V1作为电压源设置从0V到76V输出电压变化非常小。因为比较高的CMRR其电流高位采样的精度就有保证。剩下的事就交给DAC去吧~
NVIDIA RTX PRO 4500 Blackwell GPU测试分析