时间:2023-07-12 15:58
人气:
作者:admin
Boost升压电路原理讲解:
在电感两端接一个直流电源,由于电感电流满足:

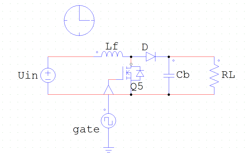
因此,电感电流就会正比例增加。我们如果将负载串联电感,根据电感电流不会发生突变的特点电感电流将会流过负载,这样就可以通过控制电感电流来间接控制输出电压的大小,从而起到电力变换的效果。其中主电路图如下:

Boost直流变换器的作用是将宽输入、低输入的电压升压到一个稳定的高压。它的主电路拓扑,其中,Q_5是功率开关管,在这使用MOSFET,D是功率二极管,使用的是超快恢复二极管;C_b为输出滤波电容;L_f是滤波电感;R_l是功率负载。
** 开关管Q_5在一个开关周期的导通与关断,使Boost电路有2种工作模式分析过程如下:**
工作模态一: 开关管Q_5开通,二极管D反向截止,输入电压U_in给输入电感L_f充电,电感两端承受的电压为U_in大于零,流经电感的电流线性增加。输出电压由滤波电容C_b独自承担,电压下降。
**工作模态二:**开关管Q_5关断、二极管D导通,此时电感的电压是〖(U〗_in-U_o)小于零,电感电流线性减小。此时输入电压U_in和电感L_f共同向负载电阻提供能量,且向滤波电容C_b提供能量,电容电压增加。
Boost直流变换器工作模式通常为连续工作模式和断续工作模式,为了减小电感电流的电流尖峰,以及数字控制采样的局限性,通常使直流变换器Boost电路工作在连续模式下。
电路的参数计算:
Boost主电路的技术指标:直流输入电压U_in为100V,输出电压U_o为200V,输出功率P_o为500W,开关频率f_s为20kHz。主电路设计参数主要为滤波电感的设计,输出电容的确定。
滤波电感L计算:
通常情况下,滤波电感的选择须确保在最小的负载情况下,电感电流仍工作在临界模式。在电感电流连续的状态下,可推导Boost的输出电压U_o和输入电压U_in的式子:

假设Boost变换器的效率为90%,负载在10%的额定载下工作于临界模式,则根据功率平衡得:

ILf为临界模式下的电感电流的平均值。
定义电感电流的纹波系数为:

式中ΔILf为电感电流纹波得峰值。
在临界模式下电感电流纹波系数,因此由上式可得:

根据电感电压和电流的关系,可得电感电流纹波峰值为:

故:

计算得:

滤波电容计算方法:
由于前级Boost的输出滤波电容恰好是两级式逆变器的母线电容。母线电容的大小和后级输出功率,母线电压,二次纹波电压的大小有关。具体关系如下:

本文设计输出功率为500W,二次纹波角频率为314,母线电压为200V,在本文确定二次纹波电压为2%的母线电压,由式(2-11)可计算出直流母线电容为:

实验结果:

输出电压波形如上图所示,我们可以清晰得看出输出电压是可以达到200V的升压效果的。由于我们直接采用的方波信号作为开关管的触发信号,因此才会出现较大的超调量。

上图是电感电流的波形。电感电流也是符合理论值的5A额定值,上下的纹波较小且未出现断续的状态。
**总结:**本文介绍了Boost电路的仿真电路的开环设计,通过仿真我们可以发现仿真结果出现较大的超调量,这个可以通过闭环控制来进行调节。
NVIDIA RTX PRO 4500 Blackwell GPU测试分析