时间:2023-05-18 17:48
人气:
作者:admin
1 经典物理中的散射截面
物理模型

图1 半球形散射源的散射模型
散射截面的概念可以从图1的物理模型中引出。
当入射光子流与半 球形散射源(可极化分子的理想模型) 相互作用,会产生两类散射光子流,一类光子流偏离原有方向但能量不变(瑞利散射),另一类偏离原有方向且转变为能量不同的光子流(拉曼散射)。
我们可以定义 F1为入射光子流通量 , F2为散射角θ的光子流通量 。通量的单位为:单位时间、单位面积的入射粒子数。
在具体场景中,F1通常为常量,与入射光的波长有关;F2与半球形散射源圆形的距离 R (R影响散射面积)有关,为了消除距离R的影响,可定义 F2' = F2·R^2 。
微分&积分散射截面
微分散射截面定义[1]为 σR = F2'/F1 = dσ/dΩ ,用以描述垂直于入射面微元射入的光子流 F1 ,有多少 (dσ) 在经过半球形散射源后分布在立体角微元dΩ内。由定义可知,σR是一种体现散射源(如:可极化分子)散射能力大小的物理量。
[如图1,定义dσ为散射几率微元,dA=π·R^2·dθ为散射面积微元,立体角定义为 Ω = A/R^2 ,立体角微元 dΩ=dA/R^2 ]
积分散射截面σ定义[1]为微分散射截面σR对立体角dΩ的目标范围内积分。σ的物理含义为单位面积上入射光的向各个方向散射的几率之和,即σ越大单位面积上入射光被散射的总强度越大。
2 影响拉曼散射截面的因素
分子可极化性

式1 拉曼散射强度IR的影响因素
拉曼光谱理论的经典书籍《Infrared and Raman Spectroscopy: Principles and Spectral Interpretation》[2]认为dα/dQ能够体现拉曼散射截面的大小,dα/dQ是直接体现分子可极化性的指标,其中α为分子极化率,Q为分子振动振幅。
由式1可知,分子可极化性越大,拉曼散射截面越大,则拉曼散射强度越大。
入射(激)光波长

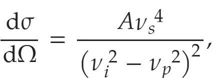
式2 微分散射截面dσ/dΩ波长依赖性(单一振动模式)
拉曼散射截面的波长依赖性研究主要集中在20世纪90年代,当时的研究者通过实验确定了氢气(H2)、氘气(D2)、甲烷(CH4)、氮气(N2)、氧气(O2)与水(H2O)的绝对振动拉曼散射截面的波长依赖性,并给出了满足上述实验分子拉曼散射截面的波长依赖性公式(一定波长范围内)。
在式2中, Vp为入射光频率 , Vs为斯托克斯散射频率 , Vi为分子的中间状态频率 ,A为系数。通过式2我们可知,如对水分子[4]而言,在215~550nm范围内**入射****光频率Vp越小(波长越大),散射截面dσ/dΩ越小。**
需要注意的是,更大、更复杂的分子可能的振动模式不止1种,因此散射截面与入射光波长的关系式会复杂于式2,研究其波长依赖性也更加困难。
散射介质性质

图2 温度、不同NaCl浓度对水的拉曼散射截面影响关系
问:研究中300度的水是哪里来的呢?(答案就在图2中)

式3 半球形散射源的散射模型
拉曼散射截面与散射介质的性质(如温度、盐度、密度等)有关。Wu等人在2017年发表了一篇关于温度和盐度对0至300 °C NaCl水溶液中H2O的拉曼散射截面影响的研究工作[5],研究发现了以下现象:(1)NaCl浓度恒定时,H2O的拉曼散射截面随温度升高线性减小;(2)在恒温下,H2O的拉曼散射截面随溶解NaCl浓度的增加而增加。
文中对于上述现象给出了几个可能的原因,包括:(1)温度升高导致液体密度降低,折射率变化,由内场效应(The effect of the internal field)[6]可知拉曼散射截面减小;(2)温度升高氢键不易形成,NaCl浓度提高利于氢键形成,而氢键引起的电荷转移可能增强拉曼散射截面;(3)卤化物离子到H2O之间的电荷转移,可能增强拉曼散射截面。
此外,国内研究者曲冠男等人也报道了β胡萝卜素C-C,C=C键的拉曼散射截面随溶剂体密度增加而线性增加[7]。他们认为该现象的机理为β胡萝卜素分子在体密度大的溶剂中受浮动干扰小,能够产生强的相干弱阻尼CC键振动。
综上,本文重点介绍了物理中微分&积分散射截面的定义,列举了分子可极化性、入射光波长、散射介质特性这3种影响拉曼散射截面大小的因素。这些概念与结论往往来源于拉曼领域相当“久远”的基础研究,可能已经被我们这一批后来者“遗忘”许久,但我认为这些从理想模型、简单分子出发的理论依然在指导我们去理解未知的科研世界,让我们能够一窥实验试管内的微观世界,尝试理解分子、离子、纳米颗粒们都在如何“交流”。
对于拉曼散射截面的应用方面,除了对物质鉴别、分子检测之外,我在查阅文献过程中看到了一篇文章,提到了一个非常令我惊讶的场景—— 用相对拉曼截面值估计用于行星探测的远程拉曼系统的检测能力 。
分子检测、物质鉴别、行星探测,拉曼光谱真是奇妙呢!
上一篇:拉曼放大器的由来
NVIDIA RTX PRO 4500 Blackwell GPU测试分析