时间:2021-12-01 09:08
人气:
作者:admin
原文来自公众号:工程师看海
以前写过一篇文章,介绍自举电路在BUCK电源的应用,驱动高边MOS
https://www.dianyuan.com/eestar/article-2127.html

反馈不错,今天再来介绍下自举电路增加输入阻抗的原理,喜欢的同学记得点赞、转发,多多支持!
加微信:chunhou0820
获取自举电路仿真文件
1 输入阻抗的计算方法
我们从最简单的电路开始一点一点分析,先定义一下输入阻抗的计算过程。我们可以粗略的把负载作为一个黑盒子来对待,所谓的输入阻抗,就是计算输入到这个黑盒子的电压与电流的比值,比如下图,输入阻抗R=Vin/Iin。

2 从最简单的射极跟随器说起
下图是一个射极跟随器,就是输出Vo=Vin(暂时不考虑三极管B极和E极之间的压降)。

那么它的输入阻抗是多少呢?
假设基极B有一个变换量△Vb,则在发射极E也有一个相应的变换量△Ve,而且二者接近相等,即
△Vb=△Ve
发射极电流的变化量是,
△Ie = △Vb/Ro,
三极管放大倍数为β,则基极B电流变化量

备注:Ie = Ib + Ic = Ib + βIb=(1+β)Ib
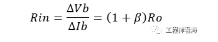
输入阻抗为:

三极管放大倍数β很大,一般取100,所以Rin很大,这是它的优点,我们都希望输入阻抗大一些。
其实,我们可以简化分析过程,对于跟随器,Vin=Vb=Ve,则流过基极B的电流变化为

电流很小,因此其阻抗是很大的,这个分析思路后面还会借鉴。
然而这个射极跟随器它有一个巨大的缺点,该电路没有偏执,输出会有失真。
我们看下他的输入和输出波形,红色是输入,蓝色是输出,蓝色峰值电压略低于红色输入,这主要是三极管BE之间的压降引起的,我们不考虑这个压差。最大问题是蓝色没有负电压,只有半波,失真了,没有起到跟随器的作用,因此,我们引入了分压式放大电路,来解决这个失真问题。

3 分压式共射放大电路
加微信:chunhou0820
获取自举电路仿真文件
分压式共射放大电路全称是分压式负反馈共射放大电路,引入分压式放大电路,提供一个直流偏执后失真就好很多了,R4,R3构成偏执电路,使得输出波形在直流基础之上摆动,避免了负电压失真。

从示波器输出波形可以看到,输出基本跟随输入,只有一点相位延迟,并没有发生失真。

然而这个电路有个稍微不足的地方,那就是输入阻抗低,它的输入阻抗是多少呢?
对于交流信号,交流输入阻抗是R3并R4,大约只有5K,比单纯一个三极管少了不是一点点。这就是他阻抗低的原因,因此可以引入我们今天的主角:
自举电路增加输入阻抗!
铺垫了这么久终于到今天的主角了!
4 分压式共射放大电路与自举电路
这个电路又进化了,有人引入了自举电路。R1与C1构成自举电路,C1的存在使得其对交流通路而言阻抗小很多,可以认为C1两端对于交流而言是短路状态,其结果就导致Vb=Ve,作为射极跟随器使用。

则流过电阻R1的电流:

则

因此其输入阻抗是非常大的,这就是自举电路增加输入阻抗的思想。
上面讨论的是分立的三极管,那么对于集成运放又是怎么做的呢?
5 运放与自举电路
对于运放而言,我们就不仿真了,其实原理都是一样的,下图是同向放大,输入阻抗很简单:
R=R4+R5,(比反向放大输入阻抗小很多)

下面是加入自举电路后的同向放大,C1对于交流而言阻抗是非常小的,所以Vc=Vn,
R4两端的电流:

又因为运放的虚短虚断,Vn=Vp=Vin,所以上式变为

所以流过R4的电流近似为0,其输入阻抗为无穷大,其输入阻抗由普通的同向放大的R4+R5,变为现在的无穷大
Rin=Vin/Ir4=∞
以上就是自举电路增加输入阻抗的分析。
欢迎加入工程师看海技术 交流群添加小编微信:chunhou0820(备注:进群)
推荐阅读▼
电池、电源
硬件文章精选
华为海思软硬件开发资料