时间:2023-07-10 10:21
人气:
作者:admin
零中频架构是将基带直接变为射频,与超外差方案相比,减小了中频和本振射频电路、中频滤波器等的使用,因此零中频架构收发信机具有体积小、功耗低、便于集成等优点。零中频架构收发信机的架构框图如图所示。零中频架构的优点:
将信号分为实部与虚部传输,降低的基带的资源损耗,提高了频谱利用率
由于没有中频,降低滤波器设计难度
由于信号传输分为正交差分传输,减小共模干扰

图1零中频收发信机架构框图
零中频方案虽然有体积小、功耗低等优点,同时也存在一些缺陷。
本振泄漏
零中频方案中射频与本振频率相等,如果射频与本振之间隔离不好,本振信号通过内部直接馈通至射频,泄漏的本振与本振混频,混频出直流信号叠加到基带信号中,造成信号解调的失真。零中频本振泄漏示意图如图2-10所示。

图2 零中频本振泄漏示意图
直流偏移
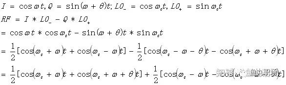
零中频方案存在的另一个缺陷是直流偏移(DC-offset),直流偏移主要由本振泄漏、电路干扰引起。直流偏移会叠加在基带信号中,对基带造成干扰,同时直流偏移可能会导致电路饱和,无法放大。下面给出了直流偏移存在对电路影响的数学分析。
正交的基带信号I、Q可用式(1.1)表示。

零中频正交频率源可用式(1.2)表示。

式(1.3)给出了零中频混频输出的射频表达式。

(1.3)
由上式可以看出:
其中1/2cos(ω+ωc)t+AB/2cos(ωt+ωct+ψ+θ)是想要的上边带,1/2cos(ωc-ω)t-AB/2cos(-ωt+ωct+ψ-θ)是泄漏的下边带,即镜频。EBsin(ωc+ψ)是载波泄漏,由式可以得出载波泄漏是由直流偏移引起的。
直流偏移对EVM的影响
DC-offset存在对系统最直接的影响是对EVM指标的恶化,DC-offset对EVM的影响如图3所示。理想的π/4 QPSK如图3(a)所示。直流偏移对星座图的影响如图3(b)所示。

(a)理想的pi/4 QPSK (b)直流偏移对星座图的影响
图3 DC-offset对EVM的影响
从图3可以看出,直流位移导致星座图整体偏移,位移矢量越大,EVM恶化程度越大。所以,零中频发射机的核心在于如何控制直流偏移带来的EVM 恶化。EVM与DC-offset的关系可表示为:

EVM与SNR的数学关系分析如图4所示。

图4 EVM与SNR的数学关系分析
从图中可以看出DC-offset性能-20dBc,对EVM的影响为10%;
DC-offset性能-35dBc,对EVM的影响为1.8%;
DC-offset性能-40dBc,对EVM的影响为1%;
为了保证系统的通信质量,需降低DC-offset。
由公式(1.5)可以得出零中频方案直流偏移的解决办法是采用对消办法将基带信号的直流偏移消除。改造后的零中频方案如图5所示,通过在基带信号的共模电压上加入微调电压实现降低直流偏移的影响。可调差分偏置:E+
=0

图5 改造后的零中频
幅度相位的不平衡
由于硬件电路的偏差,基带信号经过硬件电路的DA/AD的变化、放大会出现幅度与相位的偏差,I/Q两路电路结构上的差异带来的幅度不平衡及相位不平衡,在频域上表现为镜像,纯零中频镜像的位臵与信号重叠,镜像的存在极大的恶化了系统的性能指标。
幅度不平衡来源:I/Q链路的混频器的增益以及DAC的不对称(无法完全一样);
DAC与调制器直接的低通滤波器无法做成完全一样(包括无源电容电感以及走线)
相位不平衡来源: 调制器内部的90°移相器
I/Q 走线
I,Q 的DAC 采样时钟的相位差
幅度不平衡的影响分析:


相位不平衡的影响分析:

幅度相位不平衡的解决办法:算法处理
算法通过FPGA采样不平衡泄露干扰,采用迭代算法,产生反向偏移,抵消幅度与相位不平衡产生的镜像干扰。
超外差结构
超外差结构系统是由Armstrong在1917年提出的,自提出至今仍被广泛使用,超外差结构由于采用二次变频形式,在中频电路中使用中频滤波器,可以使系统获得更好的选择性,超外差结构收发信机框图如图2-2所示。

图2-1 超外差结构收发信机框图
前文提到超外差结构可以通过选择中频和滤波器获得更好的选择性。对于中频选择至关重要,中频设计原则:
原则1:镜像频率需要足够的过渡带抑制,当出现一个频率与本振相减为中频的干扰信号时,干扰信号经过混频器混频输出与中频相同频率的干扰信号,干扰信号会严重影响接收机的灵敏度。因此要降低镜像频率的干扰。
降低镜像频率干扰的方法是,通过预选滤波器将镜像频率干扰降到最低。由式(2.1)可知镜像频率产生的原因,式中fNF为镜像频率,fLO为本振频率,fIF为中频频率。镜像频率与系统的关系如图2-3所示。
(2.1)
根据预选滤波器的带外抑制,选择合适的中频。

图2-3 镜像频率与系统的关系
原则2:M*RF+/-N*LO的杂散必须尽量少的落进中频,保证M*N的杂散不影响接收机性能。如果落进中频,尽量高阶,如按223~231MHz,设置M、N为10阶,计算无杂散落入中频带内,落入中频带内的杂散为高阶混频杂散,高阶混频杂散通常处于噪底下。杂散计算可用APPCAD计算,APPCAD混频杂散仿真如图2-4所示。

图2-4 APPCAD混频杂散仿真
原则3:中频的2 次,3次谐波需要能推出带内,以便LC 滤波器可以滤波。目前根据滤波器的Q值,滤波器需要20MHz以上过渡带抑制带外杂散。
根据以上原则,用Genesys仿真,Genesys在225MHz的杂散仿真如图2-5所示,从图中可以看到中频选择100-740MHz时,杂散小于-100dBm。

图2-5 Genesys在225MHz的杂散仿真
超外差结构由于中频的原因有较好的选择性,同时由于超外差结构有中频电路及混频电路,电路在尺寸设计与功耗设计上没有较大的优势。
编辑:黄飞