时间:2023-07-10 10:29
人气:
作者:admin
射频工程师都知道功放对高低温变化和电源变化比较敏感,一旦这些外界条件改变,功放的功率变化可能会达到3dB之大。发射机设计时经常提到一个概念,功率要满足()1dBm,那么如何在温度、电源变化的条件下实现这个要求?今天我们重点讲一下其中的一种技术-笛卡尔环。
在发射机设计的时候通常有两种方案:开环设计与闭环设计。闭环设计的时候可以实现天线驻波检测等,那么除了监测驻波还能实现什么?
负反馈
负反馈的基本原理及框图如下图所示

无反馈时:Y(t)=X(t)+A(dB)
有反馈时:Y(t)=X(t)+A(dB)-B(dB)
电压或者高低温变化都是反应为增益A的变化,从上述公式中可以看出,当A变化时,增益A变为A+p,由于增益B为从功放输出端耦合回来的增益,耦合器为无源器件不随电压变化,温度变化耦合器的耦合功率变化较小(可以忽略不计)
所以B变为B+p,Y(t)1= X(t)+A(dB)+p-B(dB)-p= X(t)+A(dB)-B(dB)
所以可以看出,有负反馈电路时,功率不随高低温与电压变化而变化。设计可以满足功率稳定度的要求。
由上述公式可知,负反馈可以实现发射机的功率稳定控制。
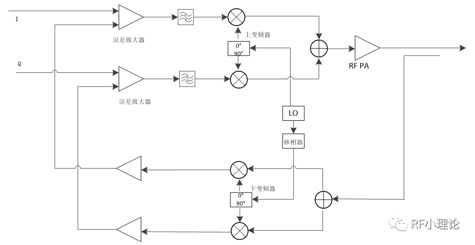
笛卡尔环
笛卡尔环的原理框图如下:

笛卡尔环是一种预失真方案,反馈信号从功放输出端耦合回来,经过同步解调处理与输入的基带信号相减产生误差信号,通过环路滤波器,经过正交调制上变频后送至功放。反馈回来的基带信号可以采集至FPGA,根据采集回来的基带信道的失真调整输入基带信号,通过反向补偿实现系统的线性。预失真技术实现机理如下图所示。

笛卡尔环从环路的角度看,本质上是一种负反馈。原理框图如下图所示。


从上述公式可以看出,负反馈方案可以降低由功放带来的噪声。
邻信道功率抑制比
技术途径及工作机理
发射邻道抑制除了与本振源相位噪声有关外,还与功放的邻道指标有关,功放输出非线性对邻道的恶化如图所示。

功放的非线性导致互调分量落入邻道附近,展宽发射频谱,为了提高对邻道的抑制,在设计功放的过程中通常采取回退的方式,降低互调分量。功放的互调可以通过双音干扰模拟,由于邻道的分量主要是由于带宽的调制结果,因此双音分析比单音更能模拟实际情况。双音信号经过功放如式(3.6)所示:

2 其中互调分量2f1-f2、2f2-f1等将落在邻道附近,邻道指标可参考互调指标。对于窄带调制,发射邻道指标主要受本振源的相位噪声影响。
由笛卡尔环技术可知,笛卡尔环可以降低发射链路引入的噪声,因此该技术可优化发射系统的线性。
下图为笛卡尔环的ADS仿真实际效果。
仿真结果如下图所示:

从仿真结果中可以看出,笛卡尔环对发射的邻道功率抑制有很好的作用。下图为实际的验证数据。可以看出笛卡尔环对邻道功率抑制比的改善。


综上所述,经过理论计算与实际验证分析,采用笛卡尔环技术,可以满足对发射邻道功率抑制比的要求。
编辑:黄飞