时间:2023-02-23 16:16
人气:
作者:admin
CATV系统基于75Ω特性阻抗,但典型的实验室设备具有50Ω特性阻抗。75Ω至50Ω最小损耗焊盘(MLP)是一种精确测量电压和功率的宽带方法。本文介绍此类MLP所需的电阻网络。还推导出了具有通用源阻抗和负载阻抗的MLP的方程。
介绍
最小损耗焊盘支持使用 75Ω 测试设备测量宽带 50Ω 电路,例如有线电视调谐器 IC、电缆上游放大器和卫星 DBS 调谐器 IC。使用 MLP 时,必须知道是使用 MLP 的电压损耗还是功率损耗。MLP的功率损耗量与阻抗变换引起的电压损耗不同。具体来说,用于功率测量的功率损耗在任一方向变换时都是相同的。用于电压测量的电压损耗因阻抗变换的方向而异。
75Ω至50Ω MLP特性总结

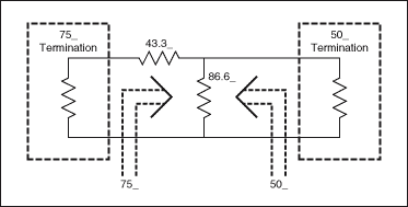
图1.75Ω至50Ω最小损耗焊盘。
图1所示为用于在75Ω和50Ω之间转换的MLP。75Ω端接采用75Ω等效电阻网络。类似地,50Ω端接采用50Ω等效电阻网络。
表1显示,从75Ω变换至50Ω或从50Ω变换至75Ω时,功率损耗保持不变。然而,从75Ω变换至50Ω时的电压损耗大于从50Ω变换至75Ω时的电压损耗。
表 1.75Ω至50Ω MLP功率和电压损耗
|
MLP阻抗变换 (Ω至Ω) |
功率损耗(分贝) | 电压损耗(分贝) |
| 75 到 50 | -5.72 | -7.48 |
| 50 到 75 | -5.72 | -3.96 |
| (50 至 75) + (75 至 50) | -11.44 | -11.44 |
通用 MLP 电阻值公式

图2.最小损耗垫。
图2显示了源阻抗和负载阻抗为R的MLPS和 RL.L型截面焊盘用于匹配高阻抗RS,至低阻抗,RL.(图 2 假设 RS>·L.)该MLP的电阻值由公式1和公式2[1]确定。

高至低阻抗信号路径
图3显示了一个MLP,其中信号路径从高阻抗到低阻抗,即从电路左侧到右侧。

图3.具有高阻抗至低阻抗信号路径的 MLP。
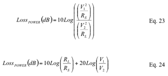
电压损耗
在有线电视系统中,信号电平通常以dBmV [2]的电压单位测量,这是相对于1mV的分贝。当信号电平以电压单位表示时,使用MLP的电压损耗。下面推导出了MLP电压损耗的一般方程,基于图3,并再次假设RS>·L.
通过检查图3:

以dB为单位的电压损耗表示为:

将等式4代入等式5:

公式6.1是一个替代的电压损耗方程,仅以R为单位S和 RL,这是将等式 1 和等式 2 代入等式 6 得出的结果。

功率损耗
当使用以功率单位(例如dBm)定义的信号电平时,使用MLP的功率损耗。dBm 是相对于 1mW 功率的分贝。典型的测试设备以dBm为单位测量信号电平。
下面根据图3和图4推导出MLP功率损耗的一般方程,再次假设RS>·L.推导的方程表明,功率损耗由电压损耗加上阻抗比项组成。功率损耗计算为输送功率与可用功率之比 [3][4]。

图4.功率可用于完美匹配的负载。
可用功率,P一个,是完美匹配负载的可用功率,如图4所示。

通过图3检查,输送到负载的功率,PD是:

V2表示为:

将等式10代入等式9:

功率损耗(以 dB 为单位)表示为:

将等式8和等式11代入等式12:

通过检查图 3,对于完美匹配的 MLP:

将等式16代入等式15:

比较公式18和公式6,观察功率损耗和电压损耗方程之间的差异。功率损耗由电压损耗加上阻抗比项组成。
等式18.1是另一种功率损耗方程,仅以RS和 RL,这是将等式 1 和等式 2 代入等式 18 得出的结果:

低至高阻抗信号路径
为了在讨论低阻抗到高阻抗信号路径时保持符号的一致性,图5显示了RS和 RL在与图3相同的电路位置,尽管信号现在以相反的方向流过MLP。

图5.具有低阻抗至高阻抗信号路径的 MLP。
电压损耗
通过检查图5:

以dB为单位的电压损耗表示为:

将等式20代入等式21:

另一种电压损耗方程,仅以R为单位S和 RL,将公式 1 和公式 2 代入公式 22 得到的结果。

功率损耗
从图5可以看出,匹配的源阻抗和负载阻抗的功率损耗为:

将等式20代入等式24。

另一种功率损耗方程,同样仅以R为单位S和 RL,将公式 1 和公式 2 代入公式 25 得到的结果。

比较公式25和公式22,观察功率损耗和电压损耗方程之间的差异。同样,对于低阻抗到高阻抗信号路径,功率损耗由电压损耗加上阻抗比项组成。
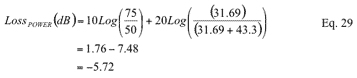
75Ω至50Ω MLP示例
要确定75Ω至50Ω MLP的电阻值,请参考上图2所示的一般MLP。选择 RS和 RL分别为75Ω和50Ω。这满足了 RS>·L.从公式 2:

从公式 1:

要确定75Ω至50Ω信号路径的电压损耗,请使用公式6。

要确定75Ω至50Ω信号路径的功率损耗,请使用公式18。

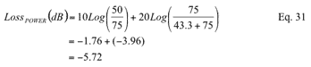
要确定50Ω至75Ω信号路径的电压损耗,请使用公式22。

要确定50Ω至75Ω信号路径的功率损耗,请使用公式25。

请注意,当信号沿任一方向传播时,功率损耗是相同的,而电压损耗因信号方向而异。另请注意,功率损耗和电压损耗之间的差异是由阻抗比项引起的。
结论
MLP的功率损耗和电压损耗因源阻抗和负载阻抗不同而不同。功率损耗等于电压损耗加上阻抗比项。
当信号沿任一方向流动时,功率损耗是相同的。然而,当信号从高阻抗源流向低阻抗负载时,电压损耗更大。
以 dBmV、dBμV 或 dBV 为单位进行测量或任何与电压相关的测量时,请使用电压损耗。在以 dBm 为单位进行测量或任何功率测量时使用功率损耗。
审核编辑:郭婷