时间:2017-11-23 16:43
人气:
作者:admin
随着通信技术的发展,射频电路在通信系统中得到了广泛的应用。功率放大器的研究和设计一直是通信发展中的重要课题。近年来,基于模糊神经网络的射频器件和电路建模的研究取得了巨大的成果,对大规模集成电路和复杂电路的建模有着巨大的启发意义, 成为当今研究的热点之一,本文将基于这个理论对射频放大器进行建模和研究。
本文将采用模糊逻辑网络中的一阶Sugeno模型, 为了实现Sugeno 模糊推理系统的学习过程, 一般将其转化为一个自适应网络,即自适应模糊神经推理系统, 如图1所示。
该自适应网络是一个多层前馈网络, 它可以分为5层, 其中的方形节点需要进行参数学习。下面分别介绍这五层。

图1 自适应模糊神经推理系统结构
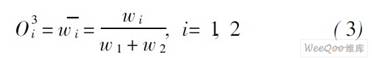
第1层 计算输入变量的匹配度, 即模糊化过程。假设模糊集采用高斯函数,那么该层输出( Oi表示第j层的第i个输出)为:
对y 的计算同理, ci, σ i 分别表示高斯函数的中心和宽度, 是模糊规则前提条件中需要调节的参数。
第2 层 计算当前输入对各条规则的激励强度,采用对规则前件部分各模糊变量的隶属度作乘积运算, 即:

第3层 对激励强度进行归一化:

第4层 计算每条规则的输出, 一条规则的输出是给定输入对该条规则的激励强度与结论部分的乘积:

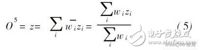
第5层 计算模糊系统的输出, 总的输出是所有规则输出之和:

由此可见这一模糊逻辑系统定义了从x、y 到z之间的一个映射:
通过对模糊规则中各参数的精心选择, 可准确地刻画变量之间的关系。
用 模糊逻辑建模可以把整个建模过程分成两步: 初始模型的建立和模型的后续训练调整。初始模型的建立除了可根据该领域已有的一些经验、知识外,现在还可以根据一组训练样本数据,运用一定的算法确定输入变量与输出变量的模糊集个数与相应的隶属度函数的形状, 及一组模糊规则。有了这样一个初始模型后,再用学习算法,如BP算法、DFP算法,来调整隶属度函数中的参数, 逐步减小系统的模糊输出值跟实际输出值之间的误差,可取得较好的效果。
在下面的实例中应用ANFIS进行建模的步骤如下:
( 1)在ADS中对设计好的功放电路进行仿真,这里分别对输入为单音信号、双音信号以及调制信号的功放电路进行仿真,最终目的是建立一个描述输入输出端口关系的行为模型,故选择输入和输出的电压数据用以训练之用。
( 2)编写程序, 预设ANFIS中的参数值, 确定隶属度函数的类型、模糊规则的条数、迭代次数、模糊集的个数等,建立初始模型,并完成对训练数据的学习;( 3)利用检测样本数据检验所建立的模型; 采用最小二乘法和梯度下降法对模型的参数进行调整。
( 4)观察检测结果, 若检测误差满足精度要求,建模结束, 若不满足, 继续调整。
本 文采用一个三输入单输出的初始模型, 输入变量选为Vin ( k ), Vin ( k- 1), Vout ( k- 1)三个输入变量, 其中Vin ( k ) 为输入电压, 变量Vin ( k - 1 ) 用Vin ( k- 1) = Vin ( k ) - Vin ( k - 1)的差分形式来替换。Vout ( k- 1)为考虑记忆效应而加入的项,即前一刻的输出量。输出变量为一单变量Vou t ( k )。这样可以将整个需建模的电路输入输出的动态关系用式( 7)予以表达:
模型采用高斯隶属度函数, 模糊规则条数为[ 2 12], 共四条, 采用平均分割法。
以下是一个基于SM IC 技术设计的射频功率放大器,如图2所示。它的设计指标如下:
S11< - 15 dB, S21> 20 dB, P1 dB > 20 dBm,PAE 30% , Pgain > 20 dB。

图2
电路中选用SM IC 库中的NMOS管, 其他元件参数如表1~ 3所示。
表1 元件参数单位: pF

表2 元件参数单位: nH

表3 元件参数单位: kΩ
电 路工作在2. 45 GHz下, 输入功率为RF_input= - 20 dBm~ 10 dBm(间隔1 dBm)的信号,对电路进行HB仿真, 并选取时域下两个周期的抽样输入输出电压抽样数据作为训练数据。检验数据的选取与上述类似,可以选择输入功率RF_input= - 19. 5 dBm~10. 5 dBm (间隔为1 dBm )内的一组或多组信号。
建模结果如图3~ 6所示, 图3是输入功率为6. 5 dBm和- 6. 5 dBm 时, 稳态输出电压的结果。
图 4是利用输入功率为7. 5 dBm 时模型得到的时域数据,选取一个周期的输出电压数据做FFT 变换, 得到电压信号频谱,对基波及二到五次谐波电压分别计算功率谱, 并与ADS仿真得到的频谱进行比较。图5和图6 所示为利用模型数据计算得到的功率压缩曲线和功率增益曲线与ADS仿真值的比较。

图3 稳态输出电压曲线

图4 频谱的模型计算值与仿真值的比较

图5 功率压缩曲线

图6 增益压缩曲线
从图中的结果可以看出, 模糊逻辑模型计算的结果与功放电路模型仿真结果拟合的非常好。
所需的输出功率以及功率增益可以通过公式( 8) ~ ( 10)所示的方程求得:

Vout [ 1]为基波项, sqr为取平方函数, mag为取基波的幅度的函数,电压是峰值因此平方后要除以2,负载接50Ω,接下来对括号里计算的结果取10倍的对数并加30便转化成单位为dBm 的输出功率。
( 1)该文用模糊神经网络结构,将功放电路经过HB仿真后得到的数据转换到时域并且建立了稳态模型,模型在频域中计算得到了功放的频谱特性, 功率压缩特性和增益压缩特性,充分反映了供方的非线性特性。其中模型计算得到的基波功率与仿真值拟合得很好, 其他次谐波的功率值则与仿真值略有偏差。
另外考虑了输入信号为双音信号以及调制信号条件下对电路的建模, 进一步分析该模型结构在这些条件下用于建模的结果, 结果基本是满意的,但是也出些了少数点的偏差,因此模型的精度还有待完善。
( 2)输入双音信号, 对电路进行双音平衡仿真,观察电路的互调失真特性。选用双音平衡仿真得到的输入和输出电压数据,利用上述模型结构进行建模。改变输入功率P1和P2以及主频率得到20组输入输出电压值作为训练数据。P1和P2,-24~ -20dBm,间隔1 dBm; 主频率选择2 45 GHz和2 25 GHz。
测试数据选择2 45 GHz下, P1 - 19 dBm、P2 - 23dBm输入输出电压数据。建模结果如图7所示。比较得知, (点线代表模型计算值, 实线代表实际仿真值)模型拟合的效果还是不错的。
( 3)在ADS仿真电路里运用CDMA 调制信号源, 给功放电路加入调制信号, 进行包络仿真, 可以抽取输入信号和输出信号Rea l part和Im part的信息。通过改变输入信号的功率大小获得10组输入输出Rea l part的数据作为训练数据( - 9~ 9 dBm,间隔2 dBm) , 每组训练数据采样300个点。测试数据选取输入功率为4. 5 dBm 下的一组数据。运用上述方法建模,结果如图8所示。同理,可以提取10组Im part的数据作为训练数据进行建模, 结果如图9所示。通过比较,模型计算结果与实际值基本上是吻合的, 其中有少许几个点出现偏差。

图7 双音信号输入条件下电路输出波形

图8 输入功率4. 5 dBm 输出实部波形

图9 输入功率4.5dBm 输出虚部波形
上一篇:射频微带滤波器基础理论