时间:2009-10-21 22:13
人气:
作者:admin
开槽波导3次谐波回旋行波放大管非线性理论与数值模拟
本文讨论了开槽圆柱波导的高频场分布,给出了注波互作用自洽非线性理论.在电子作大回旋运动与考虑速度零散的情况下,采用四阶龙格库塔法,对均匀截面开槽波导3次谐波回旋行波放大管注波互作用进行了数值计算,得出一些重要的互作用规律,为回旋行波放大管的进一步研究打下了基础.
关键词:回旋行波放大管;开槽波导;自洽非线性;高次谐波;速度零散
Self-Consistent Nonlinear Theory and Simulation of a Slotted Third-Harmonic Gyro-TWT Amplifier
ZHANG Hong-bin,LI Hong-fu,ZHOU Xiao-lan,WANG Hua-jun,YU Sheng,DU Pin-zhong
(Inst.of High Energy Electronics,UEST of China,Chengdu 610054,China)
Abstract:The distribution of RF field of the slotted cylindrincal wave guide is discussed and the self-consistent nonlinear theory of the beam-wave interaction is presented in this paper.The behavior of the slotted gyrotron travelling-wave amplifier (gyro-TWT) with a uniform section is simulated by a Runge-Kutta algorithm code for a warm beam encircling around the axis of the wave guide.Some important regulations are obtained.This work presents the bases to further studies of the gyro-TWT.
Key words:Gyro-TWT;slotted wave guide;self-consistent nonlinear;high harmonic wave;velocity spread
一、引 言
回旋行波放大管属于毫米波放大器件,它以高功率、高效率、宽频带而著称,在雷达与通讯等领域有着极其重要的应用前景,自七十年代末以来,在理论和实验方面都取得了长足的进展[1~5].
对于基次谐波回旋行波管,在毫米波波段需要很高的直流磁场,因而需要体积较大的超导系统或电磁铁系统来提供直流磁场.采用高次谐波互作用,便可大大降低管子对直流磁场的要求[2,3],使采用永久磁铁成为可能,从而可大大减小管子的体积.由于开槽壁和光滑壁波导中高频场分布存在的差异,开槽波导更有利于注波互作用,对工作电压要求较低,工作效率比光滑壁波导要高,同时与光滑壁波导相比具有很好的模式竞争抑制能力[6].本文以95GHz开槽3次谐波为例,对回旋行波放大管进行了数值模拟,得到了一些重要的互作用规律.
二、高频场模式和特性
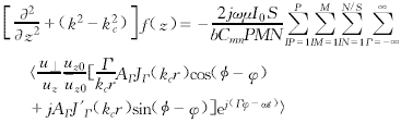
图1所示为开槽波导结构以及电子注轨迹横截面图(虚圆表示电注横截面图).设N为开槽波导的槽数,θ0为间隙半张角,a、b分别为波导内外半径,r、φ、z为电子的柱坐标,v⊥为电子的横向速度,φ为动量空间角,即v⊥与x轴夹角.为了方便起见,将波导分为两个区域进行讨论,即:Ⅰ区(0<r<a)和Ⅱ区(a<r<b).由于在回旋行波管中电子注与波的有效互作用场为TE波场,故仅需关心横电波高频场的分布情况[7~9].这里只给出了高频电场分量的表达式,有关高频磁场分量的表达式可进一步能过电磁场分量关系求得.

|
图1 中空外开槽波导及电子注横截面示意图.虚圆为电子注横截面示意图 在Ⅰ区(0<r<a)中
在Ⅱ区(a<r<b)中 Ez=0 (4)
其中
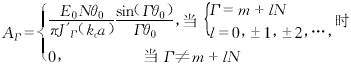
在以上各式中,E0为高频场振幅,Γ为角向谐波数,ΑΓ为角向Γ次谐波项的振幅系数,kc为截止波数,q为开槽序数(q=1,2,…,N),m代表高频场的角向模式(m=0,1,2,…,N-1).AΓ的值以及电路的色散关系可由电磁场在r=a处的边界条件确定.
色散关系为
式(9)表明,只有当空间谐波次数Γ=m+lN时,非零空间谐波项才存在.角向模式决定相邻隙间高频场的相位差,对于每一具体模式,此相位差值为m2π/N.每一角向模式均由无数个角向谐波项组成,其谐波振幅系数由式(9)决定.在所有角向模式中有两个比较重要的模式,即π模式和2π模式,其角向谐波相对强弱分布情况见图2.由图2可知,2π模式的能量主要集中于零次谐波项中,而π模式的能量主要集中于±N/2次谐波项中.因此,π模式较2π模式更适合于高次回旋谐波互作用.如果电子注回旋谐波次数(用S表示)已经设定,那么槽数N的选择应保证最强非零次角向谐波项的次数Г与回旋谐波次数S相等.如,对于π模式,槽数N应等于2S. |

|
图2 角向谐波振幅对角向谐波数(Γ)的相对分布示意图.(a)π模式(m=N/2,N=6,θ0=15°),(b)2π模式(m=0,N=6,θ0=15°) 当角向模式m和槽深(即a/b的值)确定后,截止波数kc的值可由式(10)通过数值求解方法求得[6,8,9]. 三、自洽非线性理论
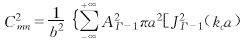
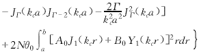
上述各式中,Cmn为电场归一化系数,f(z)为一复函数,代表高频场沿Z轴的缓变分布情况.Cmn的值由下式求得
以下是自洽非线性注波互作用常微分方程组.
以上各式中,m0和γ分别为电子的静止质量和相对论因子,φ为动量空间角,u=γv,v为电子的速度,如图1所示.
上式中,P为在一个高频场周期内所取的电子注批数,M为考虑电子注厚度因数而将电子注化分的圈数,N为每圈上所取的宏电子数,S为谐波次数.〈…〉表示对初始速度分布函数为g0(v⊥,vz)的速度空间进行平均.设电子注为单能电子注,速度零散主要来自于横纵向速度比值(V⊥/Vz)的零散,这里按正态分布规律来处理速度零散,即初始速度分布函数为
式中K为归一化常数,△vz为平均纵向速度零散,δ为狄拉克函数. f(z)|z=0=f(0) (19) 式中f(0)为输入高频场电场幅值. 四、结果与讨论 表1 数值模拟参数与结果 |
| 内半径 | 1.024mm |
| 外半径 | 1.465mm |
| 电路长度 | 87.9mm |
| 注电压 | 60kV |
| 注电流 | 6A |
| α | 1.3 |
| 直流磁场 | 11.674kG |
| 高频场模式 | π |
| 谐波次数 | 3 |
| 工作频率 | 95.08GHz |
| 模拟结果 | |
| 饱和效率 | 22.8% |
| 饱和输出功率 | 82kW |
| 饱和增益 | 36.15dB |

|
图3 效率与电子注速度比值α的关系(s=3,πmode,I=6A,V=60kV,ω/ωc=1.032, 图4所示为饱和效率、饱和增益与B0/Bg值之间的关系,虚线为饱和增益曲线.图中γz为纵向速度分量的相对论因子.图示表明,一方面,降低B0/Bg值,有助于提高饱和互作用效率,但B0/Bg值不能太低,否则失谐加重,注波互作用难以达到同步,饱和效率便会迅速降低;另一方面,增加B0/Bg的值却有利于提高饱和增益.总的来说,磁场失谐率的选择应在效率和增益之间作优化折衷.
图4 饱和效率及增益与B0/Bg值的关系(s=3,π mode,I=6A,V=60kV,ω/ωc=γz, 图5所示电流分别为3A、6A和9A情况下(a)饱和效率、(b)饱和增益随频率变化的关系.可以看出饱和效率、饱和增益以及饱和带宽都随电流的增长而有所增加.在6A和图示情况下,饱和带宽为7%,电流为3A增大到9A时,饱和带宽从4.6%增大到8.3%. |

|
图5 不同电流下,(a)饱和效率(b)饱和增益随频率变化的关系(s=3,π mode,V=60kV,α=1.3,B0/Bg=0.99) 图6所示为几个不同磁场失谐率下饱和增益以及饱和效率随频率变化的关系.由图可见,磁场失谐率对饱和增益、饱和效率及饱和带宽都有较大影响,B0/Bg值的提高有利于饱和增益及饱和带宽的提高,但饱和效率却有所降低.在图示条件下,当B0/Bg值从0.983增大到0.998时,饱和带宽从4.8%增大到9.3%. |

|
图6 不同磁场失谐率下,(a)饱和增益及(b)饱和效率随频率变化的关系(s=3,π mode,I=6A,V=60kV,α=1.3) 图7为在不同磁场失谐率下饱和效率随谐波次数的变化关系.由图表明,饱和效率随谐波次数的增大而降低,B0/Bg值越低,谐波次数对饱和效率的影响越大. |

|
图7 饱和效率随谐波次数的变化关系(π mode,I=6A,V=60kV,α=1.3,ω/ωc=γz,rL/a=0.7) 图8所示为不同谐波次数下饱和效率随频率的变化关系.图示表明谐波次数对饱和带宽有较大影响.在图示条件下,谐波次数从2增大到4时,饱和带宽从10.3%减小到5.7%. |

|
图8 不同谐波次数下饱和效率随频率的变化关系(π mode,I=6A,V=60kV,α=1.3,B0/Bg=0.99,ω/ωc=γz,rL/a=0.7) 五、结束语 |
下一篇:如何选用无线话筒