时间:2009-10-21 18:40
人气:
作者:admin
TR-R2多站雷达系统的近程应用分析与仿真
本文将宽带FMCW发射波形引入近程TR-R2多站雷达系统,利用FMCW雷达信号的高分辨率特点,分析了近程TR-R2系统的目标定位,提出了利用回波信号频谱估计细柱状目标长度的方法,并导出了计算目标长度的解析公式.速度矢量在目标探测与分析中,尤其是在近程目标的识别中具有重要的意义.本文首次分析了TR-R2系统中目标速度的测量方法并给出了算法公式.文中对系统性能进行了较全面的分析与仿真.
关键词:多基地雷达;调频连续波;系统分析
Analysis and Simulation for the Short Range Application of TR-R2 Multistatic Radar System
WEI Chong-yu,XU Shan-jia,WANG Dong-jin
(University of Science & Techndogy of China,Hefei 230027,China)
Abstract:The FMCW is introduced into short range TR-R2 multistatic radar system and an analysis is given,for locating the geometric center of a thin cylindrical target in short range using the high resolution of the wideband FMCW signal.A method and its analytical expressions for calculating the length of the target using echo spectrum are presented.Target velocity measurement is of important significance for target detection and analysis,especially for recognizing a target in short range.In this paper,an algorithm for measuring target velocity with TR-R2 system is analyzed for the first time,and formulae for the calculation of velocity are shown.System performances are discussed and simulated with the present algorithm.
Key words:multistatic radar;FMCW;system analysis;simulation
一、引 言
多站雷达具有许多适应现代战争环境的独特优点,所以近年来重新获得人们的重视.然而,以往这方面的研究[1~3]大都是针对远程应用.对多站雷达近程应用的研究很少.对于那些目标密度低,目标形状简单(一般为细柱状),但要求系统反应速度快的近程应用场合(作用距离在3km以内),怎样高速地对目标几何中心定位,分析目标特性并估计目标尺寸;如何分析系统对目标的探测精度;多站系统该如何布局等等,都是尚未很好研究的实际问题.本文将分析TR-R2多基地雷达系统的近程应用.
高线性度FMCW发射波形具有高分辨率特点,雷达系统采用宽带高线性度FMCW发射波形时能够实现对目标的高精度定位.但单纯的FMCW信号会发生严重的时延和频移耦合,从而使FMCW信号不能发挥应有的效能.同时这种信号的匹配滤波也会因多卜勒失真而变差.当目标速度v<0.1c/TB(c为光速,T为信号时宽,B为信号带宽)时,这种影响可以忽略[4],然而,对于大时宽带宽信号(如时宽1ms,带宽500MHz),且目标速度较高时,上述条件一般不再满足.另外,单频脉冲是一种简单的发射波形,其信号处理容易,频移测量精度高且与时延不发生耦合,很适合于用来测量目标速度.为此本文将FMCW信号与单频脉冲信号两者的优点结合起来,采用两种波形交替发射,对目标回波综合处理的办法完成时延与频移的解耦,从而构成了一种能充分发挥FMCW信号效能,同时实现高精度定位与测速的新方法.系统发射信号的频率关系如图1所示.

|
图1 发射频率变化规律 在0-T1时段内系统发射单频脉冲,完成多卜勒频移测量.在T1-T时段内,系统发射高线性度FMCW信号,接收机根据0-T1时段的频移测量,在回波信号中扣除频移影响,完成时延的高精度测量,实现目标几何中心定位,而后利用回波谱宽估算细柱状目标长度,并求出目标速度矢量. 二、几何中心定位算法 νT=ν0+kt (1) t时刻经目标几何中心到达Si的信号频率为
式中RT,Ri分别为目标几何中心与ST及Si的距离,k为FMCW线性调频的速率.t时刻直达Si的信号频率为
RTSi为发射机直达Si的距离.假设已根据0-T1时段测出的目标多卜勒频移,并在式(2)、(3)中扣除了该频移的影响.这时,Si对νTSi与νTOSi进行相关处理,求得频差νdi
|

|
图2 多站雷达系统布局
图3 多站系统的收发频率关系 假设目标坐标为(x,y,z),发射机布在S3处.并设di为LTi与LT3之差,即 di=LTi-LT3=Ri-R3,i=1,2,3 (7) 根据距离关系,将站坐标Si(xi,yi,zi)和目标坐标代入式(7)展开整理并求解可得
式中 a=1+dTWTW-1d; 三、定位性能分析 δη=[δd1 δd2 δR3]T=[δη1 δη2 δη3]T (9) 目标定位误差矢量为 δra=ra-r0=[δx δy δz]T (10) 其中r0为目标的真实位置矢量,由式(7)得 δηi=δLTi-δLT3=δLTi-2δR3 (11) 上式表明,δηi之间不独立. E[δηi]=E[δLTi]-2E[δR3]=0 (12) 但是,由于目标几何中心定位坐标与ηi的函数关系是非线性的,因此δηi将使定位坐标产生偏移.即使E[δra]≠0,偏移量的期望值可通过式(8)估算.
式中σ2为单站雷达测距方差,b1,b2,b3分别表示坐标偏移量bx,by,bz.
P的对角线元素为定位坐标方差σ2x,σ2y,σ2z.目标定位误差的GDOP因子为
四、目标速度测量
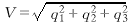
vi为目标速度在Si——目标视线上的投影,νdi为Si中测得的目标多卜勒频移, v=[q1 q2 q3]T (17) 表示目标速度,利用Si——目标视线的方向余弦(cosαi,cosβi,cosγi),将vi表示为 vi=q1cosαi+q2cosβi+q3cosγi,i=1,2,3 (18) 整理后写成矩阵形式解得 V=Φ-1μ (19) 式中
Φ为已知,因此可求得速度v,速度的数值由下式计算
五、速度测量性能分析
式中σ2v为
其中,
式中B为qi的协方差矩阵,其元素为 B(i,j)=E[(qi-q0i)(qj-q0j)],μt=[q01 q02 q03]T 为求v的概率密度函数,对式(23)作如下的变量代换,令 q1=ξcosθcosφ,q2=ξcosθsinφ,q3=ξsinθ. 变换后的变量取值范围相应变为
此变换的Jacobian行列式为J=ξ2cosθ,这样ξ即v的概率密度函数可以写成
目标速度期望值及其方差分别为
六、定位误差对速度测量的影响
速度估计方差为
其中ε2i=2σ2
七、细柱状目标长度估计
这里,目标投影及频谱宽度均应有正负号,符号的选取由目标相对各雷达站的位置关系及目标的空间取向确定.位置关系取决于几何中心坐标,而空间取向可由目标回波的频谱特性或速度的方向判别.将投影mi以矢量mi表示,其方向由相应雷达站Si——目标视线的方向余弦确定,即 mi=mi[cosαi cosβi cosγi]T (30) 再将细柱状目标以空间矢量M表示,其在三个坐标轴上的投影分量分别为X1,X2,X3,利用矢量关系求得 M=Φ-1δ (31) 式中δ=[m1 m2 m3]T.目标长度的估计式为
八、目标长度估计性能分析
式中
式中,
式中H为Xi的协方差矩阵,其元素为 h(i,j)=E[(Xi-X0i)(Xj-X0j)]; 九、计算机仿真结果 |

|
图4 不同情况下定位坐标估计偏移量分布 (2)定位误差的GDOP因子 图5图6分别给出了定位误差的GDOP因子与目标高度及系统布站半径的关系.显然,目标越高定位误差的GDOP因子越小.而增大统布站半径时,GDOP因子越小.而增大统布站半径时,GDOP因子先是减小,然后又增大,这种变化不是单调的.当考虑中心附近2km见方的近程区域时,L=2km的情况为最好. |

|
图5 高度不同时的GDOP曲线(L=2km) |

|
图6 不同布站半径时的GDOP曲线(z=500m) 2.目标速度测量 |

|
图7 速度期望值与高度的关系(L=2km) |

|
图8 速度期望值与布站半径的关系(z=500m) |

|
图9 速度均方根误差与高度的关系(L=2km) |

|
图10 速度均方误差与布站半径的关系(z=500m) (3)定位误差对速度测量的影响 分析表明,高精度定位情况下定位误差对速度测量的影响很小.目标定位误差引起的速度估计偏移量及均方根误差远小于因单站雷达多卜勒测速误差产生的测速偏移量及均方根误差,一般可以忽略.但是,当定位误差增大时,其对速度测量的影响会迅速增大,这时定位误差的影响就不能忽略了. |

|
图11 目标长度期望值分布(z=500m) |

|
图12 目标长度期望值分布(L=2km) 另外,按第六节的方法分析定位误差对目标长度估计的影响,结果表明高精度定位情况下,定位误差对目标长度估计的影响也可以忽略不计.如果不是高精度定位,只需要考虑定位误差的影响. 十、结 论 |