时间:2009-10-21 08:49
人气:
作者:admin
连续超声波位置跟踪器的设计原理及其在虚拟现实系统中的应用实现
位置跟踪器是虚拟现实和其它人机实时交互系统中最重要的输入设备之一,它实时地测量用户身体或其局部的位置和方向并作为用户的输入信息传递给虚拟现实系统的主控计算机,从而根据用户当前的视点信息刷新虚拟场景的显示.基于连续调幅超声波相位差相干测距方法实现快速、高分辨率的动/静态方法测量的原理,本文着重阐述了以连续超声波相位差相干测量法实现三维动态位置测量的原理、系统设计、实验结果,并利用上述跟踪器研究了具有三维实时交互控制能力的虚拟现实系统样机.
关键词:位置跟踪器;超声波测距器;虚拟现实系统;虚拟场景
Design of Position Tracker Using Continuous Ultrasonic Wave and Its Application in Virtual Reality
HUA Hong,WANG Yong-tian,CHANG Hong
(Dept.of Opto-Electronics Engineering,Beijing Institute of Technology,P.O.Box 327,Beijing 100081,China)
Abstract:Position tracker is one of the most critical input devices for human-machine interface utilities in virtual reality and other human-machine interaction systems.It determines the position and orientation of an object of interest (such as the user's head) and passes the information to the host computer in real time,which redraws the virtual world on the basis of the current visual point of the user.A dynamic position tracker based on continuous amplitude-modulated ultrasonic wave is developed by means of the interferometric techniques.Its principles,technical implementation and experimental results are discussed.A prototype virtual reality system using the ultrasonic position tracker as an input device is also constructed and presented in the paper.
Key words:position tracker;ultrasonic rangefinder;virtual reality system;virtual world
一、引 言
灵境技术,又称“虚拟现实”(Virtual Reality,简称VR),是80年代在美国等科技先进国家发展起来的一项新技术,是以浸没感、交互性和构想为基本特征的高级人机界面,它综合计算机仿真技术、图像处理与模式识别技术、智能接口技术、人工智能技术、多媒体技术、计算机网络技术、并行处理技术和多传感器等电子技术模拟人的视觉、听觉、触觉等感官功能,使人能够沉浸在计算机创造的虚拟场景中,并能够通过多种感官渠道与虚拟世界的多维化信息环境进行实时交互[1].
从广义上讲,虚拟现实系统由虚拟场景发生器、输入设备和输出设备组成.用于VR系统的输入设备分为两大类:交互设备和方位跟踪设备.交互设备使得用户在虚拟境界中漫游时能操纵虚拟物体,而方位跟踪设备可以实时地测量并跟踪用户身体或其局部的物理位置和方向,使得他能够在虚拟境界中漫游[1].由此可见方位跟踪设备是创建虚拟现实系统的硬件基础.
在VR技术中,目前有机电式、电磁式、声学式、光电式和惯性式五种常用的方位跟踪器[2],其中以Polhemus Inc.和Asension Technology Corporation两家公司的电磁跟踪器和Logitech公司的超声波跟踪器最为著名,但这些产品不仅价格昂贵,而且存在着一些明显不足之处.例如电磁跟踪器对应用环境的电磁特性有苛刻的要求.Logitech的超声波跟踪器克服了电磁跟踪器的上述缺点,但它采用的T.O.F(Time of Flight)方法[3]虽然具有原理简单、易于实现的优点,但方位刷新频率受到脉冲传播时间的限制,在有六个测量通道、2m测量范围的条件下,方位刷新频率仅为二十几Hz,这样的刷新频率不能满足虚拟现实头盔显示器系统中对方位跟踪器的要求,另外,多通道的距离数据非同步获取,在目标连续运动的情况下,必然给测量结果带来较大误差[4,5].
为了克服T.O.F方法的缺点,本文利用连续超声波相位差测距原理实现多通道同步测量,刷新频率不再受声波传播时间的制约,多通道测量结果是同步相干数据,能够实现快速、高分辨率的动/静态方位测量.再结合声学式跟踪器具有干扰源少、测量精度较高以及研制成本低等突出优点,因而在虚拟现实系统(如头盔显示器、数据手套)、机器人技术、武器系统、人机交互设备(如3D鼠标)等领域具有广泛的应用前景.
二、跟踪器原理
1.位置测量原理
根据刚体动力学的分析[6],能够用运动物体上参考点的坐标表示该物体的位置坐标,并通过测量该参考点到空间三个静止的非共线点之间的距离唯一确定.
设在静止参考坐标系Cξηζ中,T是运动物体上的参考点,其位置坐标用T(Tξ,Tη,Tζ)表示,R1、R2和R3是分布在边长为2a的等边三角形顶点处的三个非共线固定点,它们与参考坐标系的关系如图1所示,等边三角形的重心与原点C重合,三角形所在平面与Cζ轴垂直,CR1与Cη轴重合,R2R3与Cξ轴平行,它们的空间坐标依次为R1(0,2
a/3,0)、R2(-a,-
a/3,0)和R3(a,-
a/3,0).

|
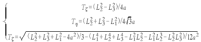
图1 参考点的分布示意图 设点T到R1、R2和R3三点的距离分别为L1、L2和L3,如图1所示,则可列出以下方程组:
求得T的位置坐标为:
由此可以推知,当在T点固定超声波发射器,在R1、R2和R3处分别固定超声波接收器,根据发射信号与接收信号之间的相位关系分别测量三个接收器和发射器之间的距离[7,8],将测量所得到的距离和接收器的分布参数代入式(2)即可求出发射器的三维位置坐标,即运动物体的位置坐标.由于超声波测距系统的快速响应特征,通过一定采样频率的连续测量即可实现运动物体位置坐标的快速动态测量.
3.测距原理 L1=NMv/f1 (7) 但由于音频调制信号的频率较低,相位差ΔΦM的测量精度受到数字鉴相器分辨力和其它信号处理电路分辨力的限制,导致L的分辨力受到限制.为此,在保证L1的分辨率高于超声载波波长λc的前提下,从接收到的AM调制信号中提取载波信号RU,用数字鉴相器测量发射载波信号TU和接收载波信号RU之间的ΔΦC,数字鉴相器的插值频率为f2,鉴相器的计数结果为NC,则距离L可以表示为:
L=int(L1/λC)+NCv/f2 和传统的连续超声波相位差测距法相比较,上述连续调幅超声波测距法不仅继承了测量范围大、刷新频率高、测距精度高等优点,而且克服了处理电路复杂和需要粗测基准的缺点.它也不同于音频测距法,不会受到环境声音的干扰,也不会造成环境声音污染.
三、跟踪器设计 |

|
图2 发射器电路原理框图
图3 接收器电路原理框图 数字鉴相器的工作波形如图4所示. |

|
图4 数字鉴相器的工作波形图
至于该测距系统的电路设计、实验结果和性能分析请参考文献[7].
图5 超声波位置跟踪器的原理框图
四、实验结果与分析 |

|
图6 测距结果与标称距离的比较
实验中使用发散角α=60°的换能器,测距单元的距离测量范围为30cm 表1 沿Cξ轴移动时跟踪器的基准标称坐标与测量坐标 |
|
次
数 |
基准标称坐标(cm) | 测量坐标(cm) | ||||
| ξ | η | ζ | ξ | η | ζ | |
| 1 | -20 | 10 | 120 | -20.77 | 10.59 | 121.08 |
| 2 | -15 | 10 | 120 | -15.75 | 10.53 | 120.98 |
| 3 | -10 | 10 | 120 | -10.56 | 9.97 | 119.94 |
| 4 | -5 | 10 | 120 | -4.1 | 10.16 | 120.69 |
| 5 | 0 | 10 | 120 | 1.07 | 10.68 | 120.87 |
| 6 | 5 | 10 | 120 | 5.34 | 10.47 | 120.52 |
| 7 | 10 | 10 | 120 | 10.53 | 11.08 | 119.91 |
| 8 | 15 | 10 | 120 | 14.36 | 10.05 | 120.15 |
| 9 | 20 | 10 | 120 | 20.04 | 9.87 | 120.91 |
|
表2 沿Cη轴移动时跟踪器的基准标称坐标与测量坐标 |
|
次
数 |
基准标称坐标(cm) | 测量坐标(cm) | ||||
| ξ | η | ζ | ξ | η | ζ | |
| 1 | 5 | -20 | 120 | 4.97 | -20.48 | 118.98 |
| 2 | 5 | -15 | 120 | 4.75 | -15.13 | 120.86 |
| 3 | 5 | -10 | 120 | 5.59 | -12.28 | 120.87 |
| 4 | 5 | -5 | 120 | 4.88 | -7.19 | 120.04 |
| 5 | 5 | 0 | 120 | 5.26 | -1.03 | 120.82 |
| 6 | 5 | 5 | 120 | 5.65 | 7.11 | 118.95 |
| 7 | 5 | 10 | 120 | 5.42 | 9.87 | 119.52 |
| 8 | 5 | 15 | 120 | 6.06 | 14.41 | 119.77 |
| 9 | 5 | 20 | 120 | 5.54 | 21.14 | 119.22 |
|
表3 沿Cζ轴移动时跟踪器的基准标称坐标与测量坐标 |
|
次
数 |
基准标称坐标(cm) | 测量坐标(cm) | ||||
| ξ | η | ζ | ξ | η | ζ | |
| 1 | 10 | 10 | 85 | 8.89 | 9.92 | 85.25 |
| 2 | 10 | 10 | 90 | 9.25 | 10.56 | 90.82 |
| 3 | 10 | 10 | 95 | 8.75 | 10.58 | 96.06 |
| 4 | 10 | 10 | 100 | 9.06 | 11.16 | 101.12 |
| 5 | 10 | 10 | 105 | 9.58 | 10.45 | 106.08 |
| 6 | 10 | 10 | 110 | 9.33 | 11.57 | 110.85 |
| 7 | 10 | 10 | 115 | 9.62 | 11.08 | 116.2 |
| 8 | 10 | 10 | 120 | 8.87 | 9.04 | 120.5 |
|
五、应 用 在以REND386开发的虚拟场景平台上,用上述位置测量跟踪系统作为一种方位跟踪设备进行用户位置跟踪,从而构成了一个三维实时虚拟漫游系统,其设计框图如图7所示,主要由三个超声波测距单元、PC机数据采集单元、空间坐标位置算法、虚拟场景生成程序和三自由度空间坐标跟踪器与虚拟场景发生器的接口驱动程序构成. |

|
图7 三维实时虚拟现实漫游系统原理框图 图8(a)是虚拟场景的初始位置,图8(b)是视点的相对位置坐标从(0,0,0)变化到(50,20,50)时经过刷新的场景图像. |

|
图8 (a)虚拟场景的(0,0,0)位置(b)虚拟场景的(50,20,50)位置
六、结 论 |
下一篇:跟踪器原理