时间:2009-10-21 08:50
人气:
作者:admin
跟踪器原理
1.位置测量原理
根据刚体动力学的分析[6],能够用运动物体上参考点的坐标表示该物体的位置坐标,并通过测量该参考点到空间三个静止的非共线点之间的距离唯一确定.
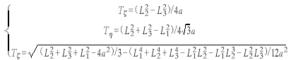
设在静止参考坐标系Cξηζ中,T是运动物体上的参考点,其位置坐标用T(Tξ,Tη,Tζ)表示,R1、R2和R3是分布在边长为2a的等边三角形顶点处的三个非共线固定点,它们与参考坐标系的关系如图1所示,等边三角形的重心与原点C重合,三角形所在平面与Cζ轴垂直,CR1与Cη轴重合,R2R3与Cξ轴平行,它们的空间坐标依次为R1(0,2
a/3,0)、R2(-a,-
a/3,0)和R3(a,-
a/3,0).

|
图1 参考点的分布示意图 设点T到R1、R2和R3三点的距离分别为L1、L2和L3,如图1所示,则可列出以下方程组:
求得T的位置坐标为:
由此可以推知,当在T点固定超声波发射器,在R1、R2和R3处分别固定超声波接收器,根据发射信号与接收信号之间的相位关系分别测量三个接收器和发射器之间的距离[7,8],将测量所得到的距离和接收器的分布参数代入式(2)即可求出发射器的三维位置坐标,即运动物体的位置坐标.由于超声波测距系统的快速响应特征,通过一定采样频率的连续测量即可实现运动物体位置坐标的快速动态测量.
3.测距原理 L1=NMv/f1 (7) 但由于音频调制信号的频率较低,相位差ΔΦM的测量精度受到数字鉴相器分辨力和其它信号处理电路分辨力的限制,导致L的分辨力受到限制.为此,在保证L1的分辨率高于超声载波波长λc的前提下,从接收到的AM调制信号中提取载波信号RU,用数字鉴相器测量发射载波信号TU和接收载波信号RU之间的ΔΦC,数字鉴相器的插值频率为f2,鉴相器的计数结果为NC,则距离L可以表示为: L=int(L1/λC)+NCv/f2 和传统的连续超声波相位差测距法相比较,上述连续调幅超声波测距法不仅继承了测量范围大、刷新频率高、测距精度高等优点,而且克服了处理电路复杂和需要粗测基准的缺点.它也不同于音频测距法,不会受到环境声音的干扰,也不会造成环境声音污染. |