全球最实用的IT互联网站!
人工智能P2P分享搜索全网发布信息网站地图标签大全
频谱分析仪原理结构框图
阅读全文2017-11-23
不可不防的电磁辐射
人人都看得懂的电磁场理论
为什么要引进样品电路板快速制作系统
光调制分析仪原理
频率计工作原理
时域反射计TDR原理
基于ANSYS HFSS 软件的WiFi天线设计与优化
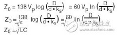
射频电缆计算公式一览表
遥感类国内外主要投稿期刊指南
QCA9531方案小尺寸无线路由WiFi模块SKW103
常用天线,无源器件有哪些类型(干货分享
如何抓取app数据包 网络抓包原理及实现
谁是5G应用的狮子座?
CPU | 内存 | 硬盘 | 显卡 | 显示器 | 主板 | 电源 | 键鼠 | 网站地图
Copyright © 2025-2035 诺佳网 版权所有 备案号:赣ICP备2025066733号 本站资料均来源互联网收集整理,作品版权归作者所有,如果侵犯了您的版权,请跟我们联系。