时间:2023-08-14 15:55
人气:
作者:admin
boost升压电路,它通过开关管通关来控制电感储存和释放能量,从而使输出电压比输入电压高。它多用于输出高压低电流的应用场合。

当mos导通的时候,电感充电,电容C2放电,二极管截止,注意这个时候节点电压为0

mos关断,节点电压(也就是电感与mos管的节点)抬升到高于Vin ,电感放电,使本来为负载的电感变电源,电容的电压被拉高从而升压

三种工作模式
★ ccm 电感电流连续模式
主要指的是电感中的电流连续情况
低压满载容易进入电流连续模式(因为i=(u/L)T输入电压低,电流变化小)
当输入是恒定电压时:

当输入是周期电压时:

★ dcm 电感电流断续模式
高压输入,轻载,会更容易跑到断续模式(因为i=(u/L)T输入电压低,电流变化大。而且轻载的时候需要的能量比较少,所以激磁快去磁也快,剩余的时间就是断续时间)
当输入是恒定电压时:

当输入是周期电压时:

boost设计与器件选型
★ 电感
如果想完全工作在CCM模式电感必须足够大,如果想完全工作在DCM模式电感必须足够小。电感的线径粗能够防止脉冲电流,电感的磁心大能够出更多的能量
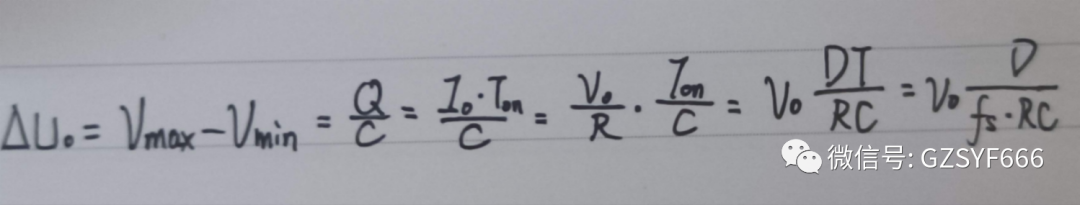
★ 输出输入电容
根据需要的纹波,考虑的容值

(当电容越大纹波越小)
也要注意输入输出电容的等效电阻esr
★ 输出二极管
采用肖基特二极管,需要关注它的反向电压,最大电流和恢复时间
★ 采样电阻
需要考虑它的功率p=u²/r
★ MOS管
需要考虑它的导通和关段时间,耐压值,控制频率,栅级电压和导通电阻
Mos管前面往往需要添加限流电阻

同时限流电阻和mos管的输入电容也决定了开关频率的范围
t=5rc,一般认为时间常数的5倍才是稳定的。
龙腾半导体SGT MOSFET LSGT085R018在智慧农业无