时间:2023-07-05 14:39
人气:
作者:admin
Cadence原理图

其中的偏置用电流源代替

输入级放大电路由 M1~M5 组成。M1 和 M2 组成 PMOS 差分输入对,差分输入与单端输入相比可以有效抑制共模信号干扰;M3、M4 电流镜为有源负载;M5 为第一级提供恒定偏置电流。
输出级放大电路由 M6、M7 组成。M6 为共源放大器,M7 为其提供恒定偏置电流同时作为第二级输出负载。相位补偿电路由 M14 和 Cc 构成。M14 工作在线性区,可等效为一个电阻,与电容 Cc 一起跨接在第二级输入输出之间,构成 RC 密勒补偿。

此外从电流与电压转换角度对电路进行分析也许更便于理解,此时可以将绘出运放的层次结构如上图 所示。M1 和 M2 为第一级差分输入跨导级,将差分输入电压转换为差分电流。M3 和 M4 为第一级负载,将差模电流恢复为差模电压。M6 为第二级跨导级,将差分电压信号转换为电流,而 M7 再将此电流信号转换为电压输出。
上图每一级都是互导放大器,由于第一级差分输入对管M1与M2相同,

R1表示第一级输出电阻,其值为

则第一级的电压增益

对于第二级有

第二级的电压增益

所以总的直流开环增益是

同时

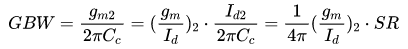
所以



GBW和SR都可以反应运放的高频性能,线性放大器主要有GBW决定,开关电泳滤波器要得到更高的频率主要有SR决定。
一旦电源电压确定,静态功耗取决于各支路静态电流总和。考察各路电路,可以知道,此运放的静态功耗为

电流的分配受其他性能指标的影响,比如GBW、转换速率、噪声性能等。

调零电阻
在第一级输出与Cc之间串联一个电阻Rz,通过调节电阻的大小,便可以移动右半平面零点的之作用,将零点移到左半平面并与第二极点重合,这样就可以消除第二个极点,但是由于工艺波动和寄生电容的影响,会使计算参数偏离。

压摆率
压摆率也称转换速率。压摆率可认为,当输入运放一个阶跃信号时,运放输出信号的最大变化速度。

下一篇:场控晶闸管(MCT)结构设计
龙腾半导体SGT MOSFET LSGT085R018在智慧农业无