时间:2023-06-14 17:41
人气:
作者:admin
1. 串联电路中的电阻器
一次连接几个电阻器,形成中间没有分支的电路,称为串联电路中的电阻器。下图显示了由两个电阻组成的串联电路中的电阻器。

串联电路中的电阻器
串联电路的特点:
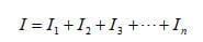
(1)串联电路中的电流在任何地方都相等。
当n个电阻串联连接时,则

(2) 电路两端的总电压等于串联电阻上分压电压的总和。

(3)电路的总电阻等于串联电阻的总和。
R称为R1和R2串联的等效电阻。R1和R2换成R后,不影响电路的电流和电压。
在图1中,(b)是(a)的等效电路。
当n个电阻串联连接时,则

(4)串联电路中电压分配与功率分配的关系。
由于串联电路中的电流在任何地方都是相等的,所以

上述两个公式表明,串联电路中每个电阻两端的电压与每个电阻的电阻成正比。每个电阻器消耗的功率也与每个电阻器的电阻成正比。因此,当串联电路由n个电阻组成时,可以得到串联电路的分压公式。

提示:在实际应用中,电阻器通常串联在一起,以扩大电压表的测量范围。
2. 并联电路中的电阻器
在电阻两端电压相同的电路中两点之间连接两个或多个电阻的电路称为并联电路中的电阻器。

并联电路中的电阻器
并联电路的特点:
(1) 电路中每个电阻两端的电压相同。

(2) 并联电路中电阻器的总电流等于支路电流的总和。

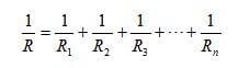
(3)并联电路总电阻的倒数等于各并联电阻的反数之和。

(4)并联电路中电阻器的电流分布与功率分配的关系。
在并联电路中,并联电阻两端的电压是相同的,因此

上式表明,并联电路中各支路的电流与电阻成反比。并且每个分支的电阻所消耗的功率与电阻成反比。
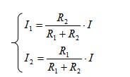
当两个电阻并联时,可以通过分流方程计算通过每个电阻的电流。分流公式为:

上式表明,在并联电路中的电阻器中,电阻小的支路的电流大,而电阻大的支路的电流小。
注意:并联电路中的电阻器在日常生活中应用广泛。例如,照明电路中的电器通常并联连接。只有当电器并联使用时,当其中一个电器断开、关闭或出现故障时,其他电器才能正常工作。
下一篇:TL43X分流型基准电压源简介
龙腾半导体SGT MOSFET LSGT085R018在智慧农业无