时间:2023-06-08 09:01
人气:
作者:admin
01 BSIM5
BSIM5模型从基本的一维MOSFET物理学出发,推导出基本的电荷和通道电流方程,然后将其扩展到准二维和三维情况,包括短通道、窄通道、多晶硅耗尽和量子力学效应。
BSIM5的核心模型是基于一般的泊松方程和Pao-Sah电流公式。理论推导从高斯边界的泊松方程开始,在渐变通道近似(GCA)的背景下,得到有关沟道电荷密度的表面电位加模型的第一个主方程。
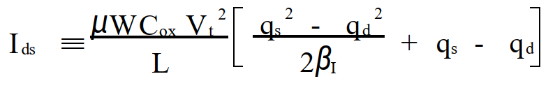
结合上面的方程与Pao-Sah电流公式,可以得到第二个主方程
式中Beta为理想因子,通过在方程中引入理想因子附加项,即可解决窄沟效应、短沟效应和DIBL效应等;通过在方程中引入有效费米电势,即可方便地解决多晶硅耗尽和量子效应。
这与BSIM3、BSIM4利用拟合参数来引入物理效应不同,BSIM5的物理效应是可以直接从方程中导出来的,因而模型的物理意义更加准确。
在BSIM5的框架下,量子效应,速度饱和,速度过冲和弹道输运等机理都可以较为容易地集成在模型中。
图:BSIM5模型对量子效应的拟合。实线是BSIM5模型,点来自TCAD仿真器的结果。
BSIM的CV模型是从IV模型中导出的,因此BSIM5的CV是全对称性的,这对于先进工艺结点(深亚微米以及纳米)的器件建模也是非常重要的。BSIM5并不是基于BSIM4的延伸,因此其成熟度和应用性都受到一些限制,随后被更完善的BSIM6所替代。
02 EKV Model
EKV MOSFET模型是一种MOSFET数学模型,它是由Christian C. Enz, François Krummenacher和Eric A. Vittoz(因此用他们的首字母命名为EKV)在1995年左右开发的(V2.0 1994;V2.6 1997;V3 2000)。其主要背景是越来越多的器件在高于阈值电压不远处工作,以获得更好的功耗特性。这就要求Compact Model在中等和弱反型区域也有很好的精度。而BSIM3和BSIM4模型很难达到。
EKV模型采用了以体电势作为参考电势的方法,重新定义漏极电流,认为漏极电流同时包含受源极控制的正向电流和受漏极控制的方向电流,这样的处理使得当Vds<0时,模型仍然有效,即模型满足对称性。
在弱反型区和中等反型区,EKV Model的精度要明显高于BSIM3 
图:NMOS跨导效率与反型系数的关系。虚线为EKV模型,实线为测量值,星号实线为BSIM3。
EKV Model的另一大优势是参数较少,相比于庞杂的BSIM来说,甚至可以进行手工计算。
下面是Hspice 提供的EKV模型参数(HSPICE Reference Manual: MOSFET Models,Version J-2014.09,Level=55)
另一方面,相比于其它Model,EKV对于短沟道效应的描述过于简化,这在一定程度上限制了其应用。
审核编辑:刘清
上一篇:开关电源负极性桥式整流电路原理
龙腾半导体SGT MOSFET LSGT085R018在智慧农业无