时间:2023-05-29 17:17
人气:
作者:admin
有源滤波器 既可以滤波信号又可以应用增益 ,因为它包括有源元件,如 晶体管或运算放大器 。

无源滤波器使用 电阻器,电容器和电感器 ,这些组件不具备提供放大的能力,因此 无源滤波器只能维持或减小输入信号的幅度 。

RC低通滤波器属于无源低通滤波器
如图所示,通过 将一个电阻与信号路径串联,并将一个电容与负载并联 ,可以产生RC低通响应。在图中,负载是单个组件,但在实际电路中,它可能更复杂,例如模拟到数字转换器,放大器或示波器的输入级,用于测量滤波器的响应。如果我们认识到电阻器和电容器形成与频率相关的分压器,我们可以直观地分析RC低通拓扑的滤波动作。

重新绘制RC低通滤波器,使其看起来像分压器。
当输入信号的频率低时 ,电容器的阻抗相对于电阻器的阻抗高; 因此, 大部分输入电压在电容器上 (和负载两端,与电容器并联)下降。 当输入频率较高时 ,电容器的阻抗相对于电阻器的阻抗较低,这意味着 电阻器上的电压降低,并且较少的电压传输到负载 。因此,低频通过并且高频被阻挡。
截止频率
滤波器不会引起显着衰减的频率范围称为通带,滤波器确实导致显着衰减的频率范围称为阻带。模拟滤波器,例如RC低通滤波器,总是从通带逐渐过渡到阻带。这意味着无法识别 滤波器停止传递信号并开始阻塞信号的一个频率 。然而,工程师需要一种方便,简洁地总结滤波器频率响应的方法,这就是截止频率概念发挥作用的地方。
RC低通滤波器的截止频率实际上是输入信号幅度降低3dB的频率(选择该值是因为幅度降低3dB对应于功率降低50%)。因此,截止频率也称为-3 dB频率,实际上该名称更准确且信息量更大。术语带宽是指滤波器通带的宽度,在低通滤波器的情况下,带宽等于-3 dB频率(如下图所示)。

该图表示RC低通滤波器的频率响应的一般特性。带宽等于-3 dB频率 。
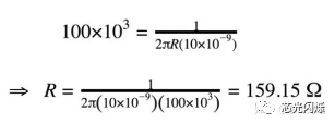
如上所述,RC滤波器的低通行为是由****电阻器的频率 无关阻抗与电容器的频率相关阻抗之间的相互作用引起的 。为了确定滤波器频率响应的细节,我们需要在数学上分析电阻(R)和电容(C)之间的关系,我们还可以操纵这些值,以设计满足精确规格的滤波器。 RC低通滤波器的截止频率(f C)计算如下 :

我们来看一个简单的设计实例。电容值比电阻值更具限制性,因此我们将从常见的电容值(例如10 nF)开始,然后我们将使用该公式来确定所需的电阻值。目标是设计一个滤波器,它将保留5 kHz音频波形并抑制500 kHz噪声波形。我们将尝试 100 kHz的截止频率 ,因此, 160Ω电阻与10 nF电容相结合 ,将为我们提供一个非常接近所需频率响应的滤波器。

龙腾半导体SGT MOSFET LSGT085R018在智慧农业无