时间:2023-05-29 16:50
人气:
作者:admin
光学隔离器虽然已经实现了几种片上的光学隔离,但是非互易传输是通过在外加磁场下使用法拉第效应诱导的非互易偏振旋转来实现的。这种方法可以通过将磁光材料集成到波导中而在片上复制。
然而,由于需要定制材料制造和缺乏互补的金属-氧化物-半导体(CMOS)兼容性,该方法的可扩展性仍然是一个巨大的挑战。
此外, 磁光材料需要一个非常强的磁铁,因为它们在可见到近红外(NIR)波长范围中的影响较弱,因此很难在集成平台上操作 。
Alexander D. White等人演示了一种集成的无源隔离器,使用环谐振器中的本质非互易克尔非线性来实现隔离。 以氮化硅为模型平台,实现了1723 dB的单环隔离,1.85.5-dB插入损耗,35 dB的级联环隔离 。利用这些器件,他们演示了混合集成和隔离与半导体激光芯片。
克尔效应是由于材料折射率的三阶非线性而引起的折射率变化折射率与光强度成正比。 模式的简并场增加了3ϵ0χ(3)|E| ^2^ ——自相位调制(self-phase modulation (SPM))。非简并场增加了6ϵ0χ(3)|E| ^2^ ——交叉相位调制(cross-phase modulation,XPM)。这种差异提供了一种内在的非互易性 。如果强泵浦光束通过波导发送,而弱探测光通过另一个方向发送,由于克尔效应是泵浦的两倍,弱探测光将产生额外的相移。

图1a集成式非线性光学隔离器的工作原理示意图。右图显示了传输(T)与频率(ω)
我们可以应用同样的原理来构造一个隔离器。考虑到图1a中所示的设置。一个强泵浦(红色)通过一个顺时针和逆时针退化的环形谐振器发送共振。这个泵浦光通过加热环,导致折射率的热光增加和相应的共振频率降低。
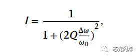
此外,环中的高功率导致顺时针模式SPM和逆时针模式XPM。这使逆时针模式的共振成为顺时针泵浦模式的两倍。 现在的分裂共振(split resonances)允许在泵浦方向上进行接近统一的传输,但在反向方向上大大减少了相同频率的传输(蓝色) 。这种减少可以用腔的洛伦兹线形表示。我们可以通过结合传输减少和SPM共振位移来计算预期的隔离度:

其中位移Δω是由

式中,Q为环的负载质量因子,n2为非线性折射率,n为线性折射率,Vmode为环的环的模式体积(mode volume),η为泵浦与环的耦合效率。我们可以通过考虑隔离3 dB所需的输入功率来描述隔离所需的功率。我们将这个功率级称为隔离阈值,即:

这种隔离仅仅是通过环的固有的非互易性来实现的,因此操作不需要额外的功率。重要的是,该操作不受动态互易性的影响。当反向传播信号与泵的频率相同时,不适用动态互易,当信号与泵的频率不同时,存在互易但接近于零的传输。
需要注意的是,这种隔离比不仅适用于向后传播信号的功率比泵要小,但即使是与泵浦光相称和更强的反向信号。当环内已经有泵浦功率循环时,反向波不会与腔体共振。因此,否定(negate)模态分裂所需的输入功率实际上比泵的功率高出许多倍。
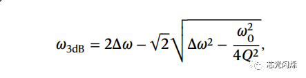
虽然隔离的带宽受到共振分裂的限制,但可以添加一个额外的线性滤波器,无限期地扩展隔离带宽。如果没有这个额外的滤波器,隔离的3-dB带宽可以由下式表达:

腔线宽大约是随着隔离度的增加而增大。
由于这种类型的隔离器需要连续泵功率(使用连续波泵或在环自由光谱范围内脉冲的泵),但没有额外的驱动或调制,它是直接隔离激光输出的理想选择 。激光器本身作为隔离的唯一驱动因素,该设备不产生功耗,只失去功率,因为通过环的小插入损耗。不需要强磁场、有源光调制或大功率射频驱动,器件的操作并不局限于单个光子平台或波长范围。
光致折射率变化效应:光电场与介质作用可引起介质极化率的变化,从而引起介质折射率的变化,进而对光在介质中的传输产生影响。光致折射率变化的效应有多种,对于光学克尔效应,它表述介质某处折射率变化的大小与该处光强的大小成正比。光克尔效应因其产生非线性极化率的方式不同而被分为两种:
利用频率为ω的信号光自身的光强引起介质折射率变化,同时用同一束信号光直接探测在该频率ω下的非线性极化率实部或非线性折射率的大小。

这种光克尔效应,需要两种光:泵浦光—引起折射率变化的强光;信号光一探测介质折射率变化大小的弱光。也就是用频率不同(ω)或偏振方向不同的强泵浦光引起介质折射率变化,同时用频率为ω’的弱信号光探测介质非线性极化率实部或非线性折射率的大小。

下一篇:RC低通滤波器的设计实例
龙腾半导体SGT MOSFET LSGT085R018在智慧农业无