时间:2023-05-31 15:16
人气:
作者:admin
生活中,每天都需要给手机充电,那么你有想过手机充电器是如何把AC 220V转换为DC 5V的么,如果你的充电器是快充,可能会转换成DC 9V。从今天开始,我们用前几天学到的整流、滤波环节来实现简单的“手机充电器”。
从前几天的滤波仿真可知,在滤波后得到的波形可能仍存在波动,是不稳定的直流电。为了解决这个问题,有必要在滤波后添加稳压环节,以达到输出稳定不变的直流电的目的。在此,将介绍三种常用的稳压实现方法。
方法一:稳压二极管
1.原理图

如图所示,稳压二极管在电路中应为反向连接(反偏),它与负载电阻并联后再与限流电阻(一般为1k)串联,因此属于并联型稳压电路。
2.仿真数据

图中可见,稳压环节之前(通道B-蓝色)的波形带有明显毛刺,稳压环节之后(通道A-红色)的波形稳定性好。稳压二极管1N4461的稳定电压参数为6.8V,仿真得到的负载端电压为6.73V。
为了看清波形的稳定性,过滤其中的直流分量,得到的交流波形如下图,稳压环节之前的交流电压峰峰值为796mV,稳压之后的交流电压峰峰值为3.2mV,可见,波形中的波动成分大幅削弱。

3.原理解析
(1)若负载不变,假设电网电压上升,则将使Ui上升,Uo随之升高,稳压管的电流IZ会显着增加,使(串联)电阻R的压降增大,以抵偿Ui的升高,从而保持负载电压Uo基本不变。
(2)若电网电压不变,假设负载减小,将使IL增大,从而(串联)电阻R的电流增大,R上的压降升高,输出电压Uo下降。由于稳压管与负载并联,Uo的下降使IZ显着减小。由分流关系:IR= IZ↓ + IL↑,故使IR基本不变,串联电阻R上的电压也就基本不变,从而输出电压Uo基本不变。
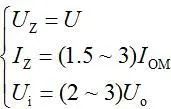
4.稳压管的选择
选择稳压管时,一般取:

5.重点提示
稳压二极管需工作于反向偏置状态,若正偏,则将导通,与普通二极管的导通无异。
上一篇:三种滤波器的比较分析
龙腾半导体SGT MOSFET LSGT085R018在智慧农业无