时间:2023-05-15 18:25
人气:
作者:admin
运算放大器起源于模拟计算机时代,用于进行加、减法、微分、积分等数学运算,因此被称为运算放大器,简称“运放”。
现在模拟计算机早已停留在历史的长河里了,但运放却因为其广泛的用途保持了长久的生命力。
它在有源滤波器、开关电容电路、数-模和模-数转换器、直流信号放大、波形的产生和变换以及信号处理等方面得到十分广泛的应用。
学习运放的使用,首先应该学会计算由其构成的放大电路的放大公式,也就是学会求出该放大电路输出信号和输入信号之间的关系。
为方便初学者更好的入门,特撰本文举例,详细说明计算过程。如果真正看懂了,那么其他运放构成的放大电路也就容易自行计算和理解了。
电路结构

基于运放设计的减法电路(也叫差分电路)
基本规律
本文计算方法应用的条件:
运算放大器采用负反馈的连接方式→即信号从输出端Uo经过反馈电阻RF回到输入“-”端——负反馈!
可以看出上面电路符合本条件。
计算方法:
以前学习的“基尔霍夫定理”、“欧姆定律”、“叠加定理”等电路规律在此照常适用。
(1)虚断路——运放的“-”端、“+”端的引脚电流接近为0,如下图红色部分示意。

即图中红色部分导线在计算时可以当作不存在,因此有iR1=iRF,iR2=iR3
(2)虚短路——运放的“-”端、“+”端两个引脚的电位相等,即V-=V+

计算过程
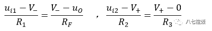
根据虚断路可得:iR1=iRF,iR2=iR3
又根据欧姆定律可知:

故有:

各自求出V- 、V+ :

根据虚短路可得:V-=V+
所以:

化简可得放大公式(此处略出纯数学变形化简推导步骤):

如果

则放大公式可简化为:

扩展
将输入ui2接地,可得到反相比例运算电路;
将ui1接地,可得到同相比例运算电路。
本文所举例电路的计算也可利用叠加定理,即最终输出=反相比例运算结果+同相比例运算结果。
龙腾半导体SGT MOSFET LSGT085R018在智慧农业无