时间:2023-05-06 16:20
人气:
作者:admin
使用电阻和电容元件的振荡器可以获得良好的频率稳定性和波形 ,这种振荡器称 为RC或者相移振荡器 。
RC振荡器是一种正弦振荡器,用于在线性电子元件的帮助下产生正弦波作为输出。RC振荡器包括一个反馈网络和一个放大器。
** RC 振荡器的工作原理是利用 RC 网络(如下图所示)提供响应信号所需的相移的电路。**
RC 振荡器具有出色的频率稳定性,可以为各种负载产生纯正弦波。
下图左边的电路显示了单个电阻电容网络,其输出电压“超前”输入电压某个角度小于 90°。
在纯或理想的单极 RC 网络中,它将产生恰好为 90 °的最大相移,但由于振荡需要 180 °的相移,因此在RC 振荡器设计中必须使用至少两个单极网络。

RC振荡器相移网络
然而,实际上每个 RC 级很难获得准确的 90 °相移,因此我们必须使用更多级联的 RC 级来获得振荡频率所需的值。
电路中的实际相移量取决于电阻 (R) 和电容 (C) 的值,在选定的振荡频率下,相位角 ( φ ) 如下公式所示。

RC振荡器相位公式
其中: ** X C 是电容的容抗** , R 是电阻的阻值 ,而 ƒ 是频率 。
在上面的简单示例中,已选择R和C的值,以便在所需频率下,输出电压领先输入电压约 60 °的角度,然后每个连续 RC 部分之间的相位角再增加 60 °,从而在输入和输出之间产生 180 ° (3 x 60 ° )的相位差,如下面的矢量图所示。
通过将三个这样的 RC 网络(如上图右侧)串联在一起,我们可以在所选频率下在电路中产生 180 °的总相移,这形成了“RC 振荡器”的基础,也称为相移振荡器,因为相角在通过电路的每个阶段都移动了一定量。
相移发生在各个 RC 级之间的相位差中。运算放大器电路采用四路 IC 封装,例如,LM124 或 LM324 等,因此四个 RC 级 也可用于在所需的振荡频率下产生所需的 180 °相移。

RC振荡器矢量图
** 在使用双极晶体管或反相运算放大器配置的放大器电路中,它会在其输入和输出之间产生 180 °的相移。**
如果三级 RC 相移网络作为反馈网络连接在放大器电路的输出和输入之间,则产生所需再生反馈的总相移为:3 x 60 °+ 180 °= 360 ° = 0 °。如下图所示。

基本RC反馈电路
三个 RC 级级联在一起以获得稳定振荡频率所需的斜率。当每级相移为-60°时,反馈回路相移为-180 °。这发生在jω = 2piƒ = 1/1.732RC为 ( tan 60 °= 1.732 ) 时。
然后,要在 RC 振荡器电路中实现所需的相移,就要使用多个 RC 相移网络。
基本 RC 振荡器也称为相移振荡器,它使用从电阻电容 ( RC ) 梯形网络获得的再生反馈产生正弦波输出信号。这种来自 RC 网络的再生反馈是由于电容器能够存储电荷(类似于 LC 谐振电路)。
该电阻电容反馈网络可以如上图所示连接以产生超前相移(相位超前网络)或互换以产生滞后相移(相位延迟网络)结果仍然相同,因为正弦波振荡仅发生在总相移为 360 °的频率。

RC振荡电路设计
通过改变相移网络中的一个或多个电阻或电容,可以改变频率,通常这是通过保持电阻器相同并使用 3 组可变电容来完成的。
因为容抗 (X C ) 随电容变化,由于电容是频率敏感元件,因此频率会发生变化。但是,可能需要针对新频率重新调整放大器的电压增益。
如果三个电阻 R 的值相等,即 R 1 = R 2 = R 3 ,并且移相网络中的电容 C 的值也相等, C 1 = C 2 = C 3,则频率由 RC 振荡产生的振荡简单地给出为:

RC振荡器频率公式
当用作 RC 振荡器时,运算放大器 RC 振荡器比其双极晶体管振荡器更常见。振荡器电路由负增益运算放大器和产生 180 °相移的三段RC网络组成。相移网络从运算放大器输出连接回其“反相”输入,如下所示。

运算放大器相位超前 RC 振荡器电路
由于反馈连接到反相输入,因此运算放大器连接在其“反相放大器”配置中,该配置产生所需的 180 °相移,而RC网络在所需频率(180 °+ 180 °)。
这种与串联电容器和连接到地 (0V) 电位的电阻器的反馈连接称为相位引线配置。
换句话说,输出电压超前于输入电压,产生一个正相角。
我们也可以**通过简单地改变 RC 组件的位置来创建相位滞后配置,使电阻串联连接,电容连接到地 (0V) 电位,如下图所示。这意味着输出电压滞后于输入电压,从而产生负相角。**

运算放大器相位滞后 RC 振荡器电路
然而,由于反馈分量的反转,相位超前 RC 振荡器的频率输出的原始方程被修改为:

RC振荡电路频率公式
尽管可以仅将两个单极RC级级联在一起以提供所需的 180 相移 (90 ° + 90 ° ),但振荡器在低频下的稳定性通常很差。
RC 振荡器最重要的特性之一是其频率稳定性,即它能够在变化的负载条件下提供恒定频率的正弦波输出,通过将三个甚至四个RC级级联在一起(4 x 45 °),可以大大提高振荡器的稳定性。
通常使用具有四级的RC 振荡器,因为常用的运算放大器采用四路 IC 封装,因此设计一个相对于彼此具有 45 °相移的 4 级振荡器相对容易。
RC 振荡器是稳定的,并提供形状良好的正弦波输出,其频率与1/RC成正比,因此,使用可变电容时可以实现更宽的频率范围。然而,RC 振荡器受限于频率应用,因为它们的带宽受限,无法在高频下产生所需的相移。
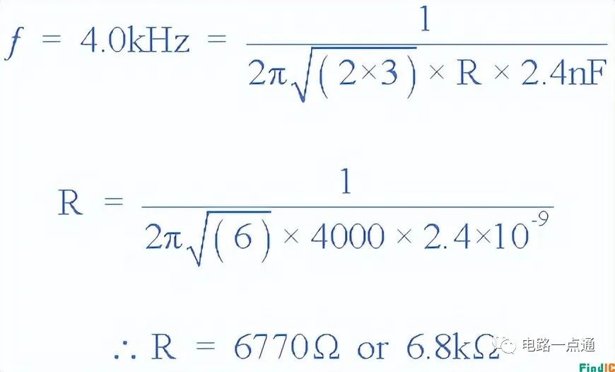
现在需要一个基于运算放大器的3 级 RC 相移振荡器来产生 4kHz 的正弦输出频率,如果在反馈电路中使用 2.4nF 电容,请计算频率确定电阻的值和维持振荡所需的反馈电阻的值,还要画出电路。
相移 RC 振荡器的标准方程为:

RC振荡器频率
该电路将是一个 3 级 RC 振荡器,因此将由相等的电阻和三个相等的 2.4nF 电容组成。由于振荡频率为 4.0kHz,因此电阻值计算如下:

运算放大器增益必须等于 29 才能维持振荡。振荡电阻的阻值为6.8kΩ,因此运算放大器反馈电阻R ƒ的值计算如下:

反馈电阻R ƒ
RC 振荡器运算放大器电路如下图所示:

RC 振荡器运算放大器电路
使用BJT的 RC 相移振荡器如下图所示。该电路中使用的晶体管是放大级的有源元件。晶体管有源区域内的直流工作点可由 Vcc 电源电压和 R1、R2、RC 和 RE 电阻设置。

使用 BJT 的 RC 相移振荡器
CE 电容是一个旁路电容,在这里,三个 RC 段被视为相等。
R1 和 R2 电阻是偏置电阻,它们性能优越,因此对交流电路的运行没有影响。此外,由于 RE-CE 的组合可获得微不足道的阻抗,因此对交流操作也没有影响。
当向电路供电时,噪声电压开始在电路内振荡。在晶体管放大器上,一个小的基极电流放大器产生一个可以相移180° 的电流。
每当这个信号响应放大器的输入时,它就会再次被移相 180 °。如果环路的增益等于 1,则将产生持续的振荡。
该电路可以通过使用等效交流电路来简化,然后我们可以得到如下所示的振荡频率:
f = 1/ (2πRC √ ((4Rc / R) + 6))
当 Rc / R << 1 时,则
f= 1/ (2πRC√ 6)
从上述等式中,为了改变振荡频率,必须改变电容和电阻的值。
然而,为了满足振荡的条件,三段值应该同时改变。实际上,这是不可能的,因此,RC 振荡器就像固定频率振荡器一样用于各种实际用途。
上一篇:晶体振荡电路的设计分析
龙腾半导体SGT MOSFET LSGT085R018在智慧农业无