时间:2023-03-28 14:19
人气:
作者:admin
我最近写了一篇文章,介绍了压电传感器的等效电路。它由电流源和并联电容器组成,并且可以包括并联电阻器以解释由压电材料产生的电荷随时间减小的事实。

扩增问题
由压电材料响应机械应力产生的电荷非常小。压电系数的典型值是每牛顿数十或数百皮克库姆。一个牛顿是一个相当大的力量,而100微微库仑是一个微不足道的电荷量。显然,我们需要一个可以将传感器电荷转换为可用信号的放大器。
另一个问题是放大器的输出电压与力,压力或加速度的物理变化之间的数学关系。施加到压电材料的力与电荷成比例,而不是电流。如果我们将传感器的电流转换为电压,则产生的信号与施加的力变化的速率成比例,而不是与施加的力本身成比例。
如果您已经阅读了上一篇文章,您就会知道压电传感器的等效电路的输出电压与施加的力成正比。那么,为什么我们不能简单地使用电压放大器呢?嗯,可以使用电压放大器,但在许多情况下,它不是首选的解决方案。问题是电缆电容。
处理互连电容
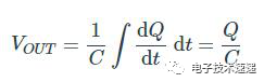
上一篇文章中给出的V OUT的表达式如下:

我们在等效电路的背景下提出了这个公式,该电路由电流源和电极产生的并联电容组成。等式中的“C”指的是该电容,其与压电装置的物理结构相关联,并且据我所知,在典型的操作条件下,表现出有问题的变化。
然而,与传感器并联的任何其他电容源将有助于上述表达式中的“C”项; 也就是说,与将压电器件连接到放大器的电缆相关的额外并联电容将改变施加力与V OUT之间的关系。传感器的电容不大(我已经看到数百皮法和低纳法拉范围内的数字); 因此,电缆电容的微小变化 - 例如由更换或甚至重新布置电缆引起的电容 - 可能对系统产生显着影响。最重要的是,只有当传感器靠近放大器电路时才应考虑电压模式放大。此外,放大器的输入电容以与电缆电容相同的方式影响电荷 - 电压关系,因此不同的放大器(即使它们具有相同的增益)也可以产生不同的输出信号。
到目前为止,这听起来像是一个麻烦的设计任务,但实际上有一个简单的电路可以满足我们的需求。它被称为电荷放大器。
压电传感器用电荷放大器
电荷放大器是具有非常高输入阻抗的积分器。集成功能将电荷转换为电压,高输入阻抗确保压电换能器产生的少量电荷不会因泄漏而损失。

充电至电压
上面显示的电荷放大器让我想起了跨阻抗放大器,但在反馈路径中使用了电容而不是电阻,我认为当你第一次思考这个功能时,这个观察是有用的。
跨阻抗放大器接受输入电流并将其乘以反馈路径中的电阻,这不仅增加了幅度而且还将电流转换为电压。电荷放大器做类似的事情,但在反馈路径中使用电容而不是电阻产生的输出与瞬时电流成比例,而不是与电流随时间的累积成比例。换句话说,输出告诉我们关于电流的积分(相对于时间)而不是给定时刻的电流大小。
在诸如光电二极管放大器的应用中,传感器的输出信号是与光强度成比例的电流,我们不需要关于信号积分的信息。然而,对于压电传感器,被测量的量与电荷成比例,并且输入信号是等于电荷导数的电流,因此输入信号的积分给出了我们需要的信息,即电荷。
这是电荷放大器输出电压的表达式:

结论
我希望您现在了解电荷放大器的工作原理以及它们在使用压电传感器的系统中的优势。
下一篇:功率放大器的基本介绍
龙腾半导体SGT MOSFET LSGT085R018在智慧农业无