时间:2023-09-21 14:22
人气:
作者:admin
相噪是什么?
当一个信号由振荡器或者其他信号源产生时,你希望在示波器上看到的它是这样的。

但它实际上是这样的。

或者,你想在频谱仪上,想看到的信号是这样的。

但实际上是这样的

而且,相噪不仅仅,让信号不是理想的信号,在实际应用中,它会严重恶化接收机的性能。
相噪会增加接收机的噪声电平。

相噪会影响接收机的抗干扰性能

相噪会影响数字信号的检测。

相噪是振荡信号相位或者频率的短期随机波动,定义为偏移载波fc频率fm处,1Hz带宽里面的噪声功率与载波fc功率的比值,单位为dBc/Hz。
比如说,可以说,某某信号,在偏移25KHz的时候,相噪为-110dBc/Hz
相位变化为什么会产生相噪?
一般来说,一个振荡器或者合成器的输出电压可以表示为:

其中,A(t)是指输出信号的幅度波动;θ(t)是指输出波形的相位变化。通常幅度波动,能够被很好的控制住,一般对系统性能的影响相对较小。
相位变化可能是离散的,表现为杂散;也有可能是连续的,表现为相位噪声。
假设:

把式2代入式1,并把A(t)设置为0,忽略幅度波动的影响,可以得到:

假设相位变化很小,所以:

因此式3可以简化为:

式4表明,振荡器输出端很小的相位或频率偏差,会产生位于载波ωo两侧的,频率为ωo ± ωm的调制边带。
实际的相位变化,可能是热噪声或者其他噪声源造成的;也有可能是链路中的谐波引起的;所以这些相位变化会产生相噪或者杂散,使得实际的振荡信号的频谱可能如下所示。

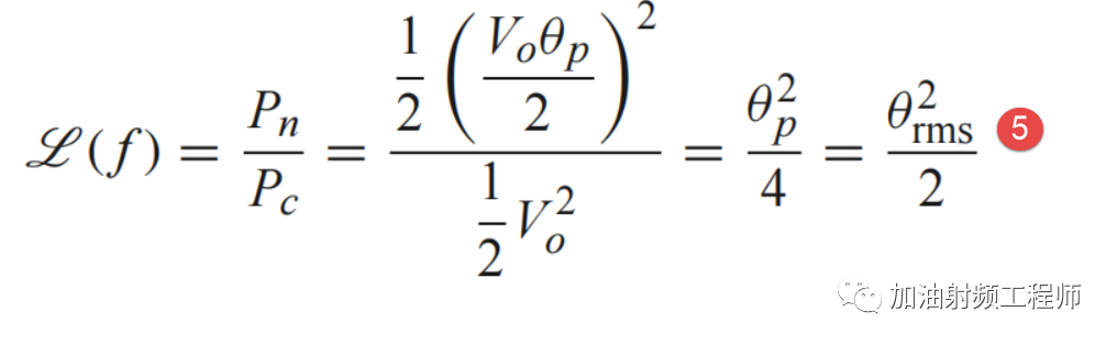
由相位噪声的定义可知,式4所表达的波形的相噪为:

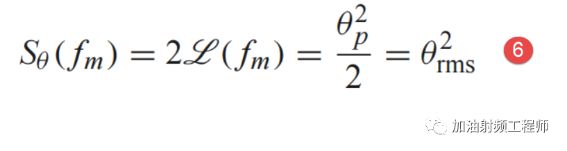
与相位噪声相关的双侧功率谱密度,包括两个边带上的功率,所以:

审核编辑:刘清
上一篇:从时域波形理解频率响应