时间:2023-08-31 15:27
人气:
作者:admin
中国海洋大学 梁岩课题组
01引言
近年来,紧随石墨烯的突破性发现而来,二维材料引发了广泛的关注。得益于它们多样的元素组成和形态结构,这些体系通常可以展示出独特的电子、光学以及其他物理属性。因此,它们作为研究物理化学现象和探索多种应用的平台有着巨大的潜力,如催化、自旋电子学和能量转换等。特别值得注意的是,二维铁磁自旋电子学作为一个新兴领域,目前备受关注。它涉及通过对自旋和电荷的操控来同时控制信息处理和存储,为超越传统电子器件的量子计算应用提供了高容量和灵活的优势。
二维铁磁领域取得了重大进展,利用材料预测、剥离、载流子掺杂、缺陷操控等方法,多种二维磁体已被提出,其中包括三卤化锰、Fe3GeTe2、Cr2Ge2Te6以及CrI3等。除了微小的尺寸和完全的自旋极化这两个显著特点,目前的努力集中在实现轻质、来源丰富性、低成本、高耐久性和无毒等特性的有前景的二维磁体。因此,基于主族元素的无金属二维材料在铁磁性研究方面受到了广泛的关注。与基于过渡金属的二维磁性体系相比,主族元素p轨道展示出较弱的自旋-轨道耦合,从而产生更长的自旋寿命。这一特点非常有利于未来的技术应用。然而,传统的无金属二维铁磁体通常需要官能化和缺陷工程等精确的操控,这在实验中很难控制。因此,识别具有优异的电子和自旋特性的本征无金属二维铁磁体具有极大的现实意义。
02成果简介
基于第一性原理方法,我们提供了AsN2单层中p轨道半金属特性的理论证据。由于N原子的未成对p轨道的产生,该单层呈现出面内自旋铁磁基态。其半金属能隙高达0.54 eV,有利于防止热扰动引起的自旋翻转。此外,结合密度泛函理论和非平衡格林函数方法,我们验证了AsN2自旋阀可实现100%磁阻。此外,结果显示无金属二维AsN2中的铁磁性对应变、掺杂、衬底和电场等各种外部干扰具有鲁棒性。这些结果为无金属二维AsN2及其在先进电子学和自旋电子学应用研究中提供了重要参考。
03图文导读

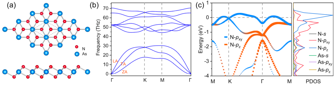
图1(a)无金属AsN2单层原子结构的俯视和侧视图。(b)AsN2单层的声子色散。(c)不考虑自旋极化,AsN2的能带结构和相应的态密度。

图2(a)AsN2单层的空间自旋密度分布(ρ↑ - ρ↓)。(b)AsN2单层中磁相变的示意图。(c)AsN2单层垂直于表面平面内能量与磁化极化角度的关系。(d)AsN2单层在铁磁基态下的自旋极化能带结构和态密度。自旋向下以蓝色和橙色标记,自旋向上以灰色和浅灰色表示。

图3(a)设想构建的自旋阀模型。红色和蓝色箭头表示电极和中心散射区的磁化方向。考虑了自旋平行(SP)和自旋反平行(SAP)两种情况。(b)自旋平行和(c)自旋反平行情况下的零偏压透射系数。

图4AsN2单层中反铁磁和铁磁序之间能量差随着(a)双轴应变和(b)掺杂浓度的变化。(c)AsN2/Ti2CO2异质结的结构和差分电荷,以及(d)相应的能带结构。Ti2CO2衬底贡献的能带用灰色标记。
04小结
基于第一性原理,我们提供了无金属AsN2单层中p轨道半金属性的理论证据。铁磁基态产生于每个N原子未成对p轨道之间的直接交换相互作用。半金属能隙达到了0.54 eV,将有效防止室温下的自旋翻转相变。此外,基于AsN2构建的自旋阀可以实现100%的磁阻。更重要的是,AsN2中铁磁性的稳定性对应变、载流子掺杂、电场和衬底等外部干扰具有鲁棒性。这些发现为探索和应用无金属的二维半金属磁体提供了重要的理论基础。
本项研究中,我们使用了鸿之微Device Studio、Nanodcal和鸿之微云等工具。其中,使用Device Studio软件分别搭建了AsN2自旋阀的二电极器件,并使用Nanodcal软件计算了其透射系数,发现可实现可控的半金属和100%磁阻特性。
审核编辑:刘清
上一篇:请问如何快速地创建扫描策略呢?
下一篇:如何选择图像采集卡供应商