时间:2023-06-12 11:28
人气:
作者:admin
当完成数字比特流到 IQ 坐标系的映射后,便可以得到数字 I 和 Q 信号,然后分别经过 DAC 变换为模拟 I 和 Q 信号,最后经过 IQ 调制器完成上变频,图1给出了数字调制的简要架构示意图。作为整个数字调制发射系统的关键部件,IQ 调制器完成了基带信号的频谱搬移,从而达到空口传输的条件。
什么是 IQ 调制器?IQ 调制器如何工作?接收侧如何实现信号解调?本文将给出具体介绍。

图1. 数字调制发射系统架构示意图
**1. 什么是 IQ ** 调制器? 图2给出了 IQ 调制器的简要示意图,通常包含四个端口:模拟 I 输入,模拟 Q 输入,LO (本振)端口以及射频输出端口。有的 IQ 调制器还支持差分模拟 I/Q 输入,因此具有更多的端口。IQ 调制器包括两个对称的支路,每个支路包含一个 Mixer (上变频);两个 Mixer 的 LO 同源,但是要求正交,即存在90°相位差。

图2. IQ调制器架构示意图
IQ 调制器具有三个比较关键的性能指标:(1) 整个带宽内的频率响应;(2) 两个支路间的幅频响应对称性(IQ 增益平衡);(3) 两路 LO 信号的正交性。
这些指标的优劣将直接影响信号调制质量的好坏。IQ 调制器的频率响应包括幅频响应和相频响应,对于理想的线性时不变系统 (LTI),幅频响应是平坦的,相频响应是线性的,信号可以无失真的传输。因此,频响性能越好,调制质量越高,从系统的角度讲,BER 越低。
为什么要强调 IQ 调制器两个支路间的幅频对称性呢?如果两个支路的频谱响应不同,就会造成 IQ 不平衡传输,当产生中心频率与 IQ 调制器 LO 频率不同的信号时,镜频分量抑制效果会变差。因此,需要控制 IQ 调制器支路间的幅频特性差异。
类似地,两个 Mixer 的 LO 正交性也将会影响镜频抑制能力。如果完全正交,则不会对镜频抑制能力有影响。当偏离正交时,镜频分量会增强。
如果模拟 IQ 调制器的特性不是很理想,势必会影响信号的调制质量。但是,可以通过源端预失真来补偿,从而改善信号质量,比如矢量信号源中允许调整 I/Q Imbalance 及 I/Q Quadrature 参数等。
**2. 发射端 IQ 调制器是如何实现上变频的?接收端 IQ ** 解调器又是如何实现信号解调的? 此处信号的调制与解调,仅限于模拟 IQ 信号到 RF,再从 RF 信号解调出模拟 IQ 信号。通过下面的介绍,除了调制与解调的过程,您还将会了解为什么基带 I 和 Q 信号的带宽经过 IQ 调制器后会翻倍。
首先介绍一下信号的 单边带频谱与双边带频谱。 这两种频谱都可准确描述信号频谱,但是出发点不同,应用场景也不同。
任何一个周期信号,只要满足狄里赫利条件,均可以写为一组完备正交集函数的无穷级数。通常完备的正交集函数为三角函数,比如 { ** cos(nΩt) ;sin(nΩt)** ,n为任意非负整数};根据欧拉公式,三角函数与虚指数函数存在一定的关系,因此周期信号也可以写为虚指数函数的无穷级数。

如果按照三角函数级数展开,则对应的频谱为单边带频谱,如果按照虚指数函数级数展开,则对应的频谱是关于零频左右对称的频谱,此时称为双边带频谱。由于运算更加方便,双边带频谱应用更加广泛。
对于调制应用而言,涉及到频谱的搬移,因此采用双边带频谱更加方便。下文所涉及的频谱,均指双边带频谱。双边带频谱包括负频率成分,没有具体物理意义,但是从数学角度讲,这些又是构成傅里叶变换的必不可少的组成部分。
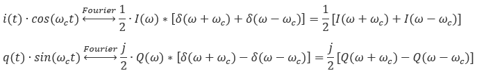
图2所示的 IQ 调制器,在上变频的过程中,两个 Mixer 实际上起到乘法器的作用,即 i(t) 与 cos(ωct) 相乘,q(t) 与 sin(ωct) 相乘,最后合为一路输出。
假设 I(ω) 和 Q(ω) 分别为 i(t) 和 q(t) 的傅里叶变换,而三角函数的傅里叶变换为

根据频域卷积定理可得:

由此可见,和经过混频器后,从傅里叶的角度看,其双边带频谱发生了搬移,中心频率由 DC 搬移至ωc。傅里叶变换的产物中还包含(-ωc)频率成分,如前所述,负频率不具有实际物理意义,但是作为傅里叶变换的重要组成部分,构成了整个变换的数学完整性。
虚数* j *的存在表明,两部分信号之间的载波存在90°相差,二者保持正交。
以上数学推导也可以由图解完成,图3给出了正余弦函数的傅里叶变换示意图,模拟 IQ 信号经过调制器后,频谱变换示意图如图4所示。

图3. 正、余弦三角函数的傅里叶变换

图4. IQ调制频谱变换示意图
因采用双边带频谱描述信号,i(t) 和 q(t) 实际带宽为双边带频谱带宽的一半,由上述推导可知,当经过调制器上变频之后,整个双边带频谱搬移至射频,故输出的信号s(t) 的带宽相对于基带信号的带宽翻倍了。
在接收侧,射频调制信号可经过模拟 IQ 解调器解调,经过低通滤波器之后分别得到模拟 I 和 Q 信号。数学推导与 IQ 调制类似,此处不再赘述。图5给出了解调的整个图解过程,非常清晰地表明了如何由射频信号得到基带信号。

图5. IQ解调频谱变换示意图
3. IQ 调制与解调的实现方法有哪些? 前面介绍调制及解调过程时,默认是按照模拟 IQ 调制器和解调器介绍的。现实中绝大多数数字调制发射系统均是采用了模拟 IQ 调制器,从测试设备的角度讲,矢量信号源也是采用了模拟 IQ 调制器的架构。
尽管如此,IQ 调制功能也是可以通过数字的方式实现的,称为数字****IQ 调制器 ,在数字侧完成符号映射及 IQ 调制,从而得到具有载波的波形,最后经过 DAC 直接播放出来。任意波信号发生器(AWG)产生数字调制信号就是采用这种方式,但是DAC的时钟频率决定了能够输出的最高信号频率。
类似地,模拟 IQ 解调器的功能也可以由数字方式实现,称为 数字下变频 。而且相对于模拟解调器而言,数字下变频应用更加广泛。其基本思路为:射频信号经过下变频至 IF 频段,然后经过 ADC 直接离散化,对离散的数据作数字下变频便可以得到数字 IQ 信号,最后对 IQ 数据进一步分析。现在的矢量信号分析仪基本都是采用这个架构,有的矢量分析方案采用示波器及分析软件的方案,也是应用了数字下变频技术,如图6所示。

图6. 矢量信号分析架构示意图
以上介绍了 IQ 调制器的概念、IQ 调制及解调过程及其实现方法,后面的内容将重点介绍 IQ 调制器的特性,比如镜频抑制特性、载波抑制能力,以及相对于普通上变频器,IQ 调制器的优势等。