时间:2023-12-08 10:57
人气:
作者:admin
GJB 289A-97 4.5.2.1.2.4、4.5.2.2.2.4规定了在2.1VPP(或3.0VPP)信号上叠加1.0kHz ~ 4.0MHz频率范围内的有效值为140.0mV(或200.0mV)的高斯白噪声,要求289A终端的最大字差错率为10-7。字差错包括引起终端在状态字中消息差错位置位的任何故障,也应包括使终端不响应有效指令的故障。
289A规范对通讯误码率的规定是小于10-7的字差错率,一个1553B字由20个比特构成,当实际设计的1553B终端的误比特率小于10-7/20=5×10-9时,是否可以认为符合规范的字差错率要求?
在确定位差错率(设为pber)的情况下,由位差错引起字差错是一个典型的二项分布,即此时的字差错率(设为Pwer)是二项分布B(20, pber)在k=1,2,。..,20的概率累加之和:

在已知Pwer的条件下,要利用上式求解pber,计算比较复杂。Pwer是在20比特中错1~20位的概率累加和,20比特中错0比特的概率(记为Pwer‘),即字无差错的概率,有Pwer+Pwer’=1,从而可用下式求解pber:

从pber的求解结果来看,在实际工程应用中,当1553B终端的位差错率pber小于5×10-9时,可以满足字差错率Pwer小于10-7的要求。
GJB 289A-97 A1.4 高可靠性要求:“本标准采用简单的奇偶校验,即建立每字中单个奇偶位以鉴别多路传输数据总线的数据正常传输及作为差错检测用。它是在数据传输的可靠性要求、系统辅助操作及终端组件和简化要求之间折衷后确定的。理论和经验的证据表明,按本标准建立的实际的总线系统其未被检出的位差错率预计为10-12…”
GJB 289A-97 A1.4不是对1553B终端或系统提出的设计要求,而是对按照标准其它条目设计而获得的实际系统性能的结果评估。规范中虽然描述为10-12的位差错率,但不应理解为传输1012比特可能发生1个比特的错误,而应理解为传输1012比特几乎不会发生未被奇偶校验机制识别出的错误,导致错误的传输被判为正确的传输。
那么,符合规范4.5.2.1.2.4条要求的10-7的字差错率,或者位差错率小于5×10-9的终端,传输1012比特时出现1次以上未被检出字差错的概率是多大?
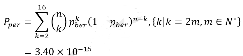
在确定了位差错率的情况下,1个1553B字出现不能被奇偶校验机制检出错误的概率符合二项分布。令位差错率为pber=5×10-9,引起字出现奇偶校验不能识别的概率(设为Pper)是:n=17个比特中,出现偶数个位错误的概率累加之和,即:

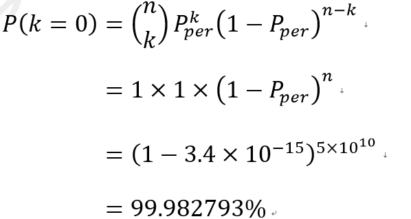
在确定了不能识别的字差错概率Pper的情况下,传输1012比特,即5×1010个字出现0个不能识别的错误的概率同样符合二项分布,其概率P(k=0)为:

上述计算中,假定了引起1553B字传输出错的所有位差错均导致比特位逻辑翻转,即0→1或1→0,而依据1553B总线曼彻斯特编码的原理,当噪声引起信号电平变化时,导致的故障模式可分为曼彻斯特编码错的物理错误和比特位逻辑翻转的逻辑错误两大类,故实际传输1012比特,不出现未识别奇偶校验错的概率应该大于上述的99.982793%。
上述计算中,n=5×1010,p=3.4×10-15,满足p足够小,n足够大的用泊松分布近似二项分布的条件,从而可用λ=np=1.7×10-4的泊松分布来计算在k=0时的概率:

通过上述分析,可以看到,经过仔细设计的1553B终端及系统,其传输的字差错率可以控制在10-7以内,并且传输1012比特时,奇偶校验机制正确检出传输错误的概率大于99.98%,漏检传输错误的概率小于0.02%。
审核编辑:黄飞
上一篇:usb-c和type-c的区别
从profibusDP转ModbusTCP,一网打尽转换技巧!