时间:2023-09-22 14:55
人气:
作者:admin
12.1 信号传播的过程
对于所有的信号,我们关心的是它的传播速度有多快和感受到的阻抗是多少。
我们知道,因为信号路径与返回路径是两条分开的导线,所以在这个区域内两条导线之间必然有电容存在。如果两条导线之间有1V电压,则信号路径必然带上一定量的电荷,返回路径则带上极性相反而电量相等的电荷。
信号的电压是由信号源决定的,而电流的大小取决于每段长度的电容和电容充电时间的长短。只要信号的速度和单位长度电容是恒定的,注入导线的电流就是恒定的,那么信号受到的阻抗也就是恒定的。
我们把信号在每一步所感受到的阻抗称为 瞬时阻抗 。如果互连特性是均匀一致的,那么每一步的瞬时阻抗都是相同的。均匀传输线称为阻抗受控传输线,是因为在导线的任何位置其瞬时阻抗都是相同的。
假设两条导线的宽度突然增加,则每一步之间的电容就会增加,那么电容充电的电流也会增加。电流增加而电压不变,这意味着传输线的阻抗减小了。在传输线的这一部分,瞬时阻抗较低。相反,如果导线的宽度突然变小,每一步之间的电容就会减小,给电容充电所需的电流就会减小,传输线上的信号受到的阻抗就会增加。
我们把信号在每一步受到的阻抗称为传输线的瞬时阻抗。沿着传输线往下走,信号将不断地探测到每一步的瞬时阻抗。瞬时阻抗的值等于线上所加的电压与电流之比,这个电流用于传输线的充电和信号向下一步的传播。
瞬时阻抗取决于信号的速度(它是一个材料特性)和单位长度电容。对于均匀传输线,当材料相同时,若沿线的横截面积不变,则信号受到的瞬时阻抗也是恒定的。信号与传输线相互作用的一个重要特征是:当信号遇到的瞬时阻抗变化时,一部分信号被反射,一部分信号失真,信号完整性会受到破坏。这是对信号受到的瞬时阻抗需要加以控制的主要原因。
减少反射问题的主要方法是:保持导线的几何结构不变,从而使信号受到的瞬时阻抗保持不变。这就是可控阻抗互连或保持沿线的瞬时阻抗不变的意义。
12.2 传输线的瞬时阻抗
下面通过建立一个传输线的简单物理模型,定量分析传输线的瞬时阻抗问题。传输线模型由一排小电容器组成,其值等于传输线的1跨度的电容量,1跨度就是我们(信号)的1步长。我们把这个模型(用于工程感悟的最简易模型)称为传输线的零阶模型。

我们所定义的传输线电流-电压(I-V)特性,它说明了任何一处的瞬时电流与电压成正比。如果施加的电压加倍,则流入传输线的电流也加倍。这与电阻的特性是完全一致的。所以,在传输线上每前进一步时,信号受到的阻抗就与一个电阻性负载的特性一样。
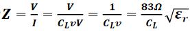
根据这个关系式可计算出信号沿传输线传播时受到的瞬时阻抗。瞬时阻抗等于施加的电压与流过元器件的电流的比值,即:

其中,Z表示传输线的瞬时阻抗(单位为Ω),C_L表示单位长度电容量(单位为pF/in),v表示材料中的光速,ε_r表示材料的介电常数。
所以,信号受到的瞬时阻抗仅由传输线的两个固有参数决定,即由传输线的横截面和材料的特性共同决定,与传输线的长度无关。只要这两个参数保持不变,信号受到的瞬时阻抗就是一个固定的值。
12.3 特性阻抗与可控阻抗
对于均匀传输线,当信号在上面传播时,在任何一处受到的瞬时阻抗都是相同的。这个瞬时阻抗可以表征传输线特性,这里称之为 特性阻抗 ,记作Z_0 ,其单位是Ω。
特性阻抗在数值上与均匀传输线的瞬时阻抗相等,它是传输线的固有属性,且仅与材料特性、介电常数和单位长度电容有关,而与传输线长度无关。
对于均匀传输线,其特性阻抗为:

一种衡量传输线均匀性的测度就是:沿线的瞬时阻抗是否为常量。如果导线的宽度沿传输线而变化,整条传输线就没有唯一的瞬时阻抗。根据定义,非均匀传输线没有特性阻抗。如果沿线的横截面不变,信号沿互连传播时受到的阻抗就是恒定的,我们就说导线的阻抗是可控的。基于这个原因,我们把均匀横截面传输线称为 可控阻抗传输线 。
现在,我们基本上对电容和传输线单位长度电容有了很好的认识。如果增加两条导线的宽度,就会增加单位长度电容。如果增加两条导线之间的距离,就会减小单位长度电容。
一般而言,宽导线和薄介质构成的传输线的特性阻抗是很低的。例如,印制电路板中电源平面和地平面构成的传输线的特性阻抗通常小于1Ω。相反地,窄导线和厚介质构成的传输线的特性阻抗比较高,典型值为60~90Ω之间。
下表为一些常见的可控阻抗传输线及其特性阻抗:

自由空间的特性阻抗有特殊的重要含义。前面提到,传输线上传播的信号实际是光波,信号路径和返回路径约束并引导电磁 波。电磁波传播场以光速在复合电介质中传播。
如果没有导线的引导,光就会以电磁波的形式在自由空间中传播。电磁波在空间传播时,电场和磁场就会受到一个阻抗,这个阻抗与两个基本常数有关:自由空间的磁导率和自由空间的介电常数,即:

这个值很重要,当天线的阻抗与自由空间的特性阻抗(377Ω)相匹配时,天线的辐射量是最优的。只有自由空间这个377Ω的特性阻抗值具有根本性的意义。其他阻抗都可以是任意的。互连的特性阻抗可以是任意值,它只受到可制造性的限制。
在早期,对于确定外径值的同轴电缆,选取特性阻抗是50Ω的原因就是为了使衰减降至最低。这个选择标准后来成为提高无线电和雷达系统效率的一个准则,这样的电缆也很容易制造。随着这个标准的确立,更多的系统采用这个特性阻抗则是为了提高兼容性。如果所有的测试和测量系统都匹配到标准的50Ω,仪器之间的反射就会变得很小,信号质量就会变得很好。
对于FR4的板子,当线宽是介质厚度的2倍时,可以制造出50Ω左右的特性阻抗的微带线。
在高速数字系统中,确定整个系统最佳特性阻抗的折中选项有很多种。50Ω是一个很好的出发点。间距相同时,采用的特性阻抗越高,串扰就越严重。但是,高特性阻抗的连接器或双绞线容易制造,从而价格更低。特性阻抗越低,串扰越小,对连接器、元件和过孔引起的时延累加就越不敏感。但同时其功率损耗也就越高,而这在高速系统中非常重要。
每个系统对最佳特性阻抗的选择都有自己的权衡。通常,这个最佳值并不是唯一的。只要整个系统采用的特性阻抗值都一致,精确值的选择并不重要。除非系统的驱动能力很强,否则一般都采用50Ω。
12.4 传输线的阻抗
假设一段电缆线光从一端传到远端所用的时间约为2s,返回又需要2s。如果将欧姆表连到这段长电缆线的前端,给被测元器件加1V的电压,然后测量电压与电流的比值。那么测到的阻抗会是多少?
如果在信号的往返时间即4s内测量阻抗,则与驱动一条传输线的情况完全一致。在前4s内,信号出发沿传输线向下传播到底并返回,这时流入传输线前端的电流是一个常量,其大小等于信号沿线向前传播时信号给每小段连续电缆充电的电流。
信号源在传输线前端看过去的阻抗,也就是“输入”阻抗,它和信号看到的瞬时阻抗相同,这就是传输线的特性阻抗。事实上,在信号返程结束前,即前4s内,信号源并不知道传输线有终点。在这种情况下,欧姆表前4s内的读数就是传输线的特性阻抗,即50Ω。但长时间后,测得的是开路。
所以说电缆线的输入阻抗没有一个固定值,它随时间而变化。在信号的往返时间内,传输线前端的阻抗就是传输线的特性阻抗。在信号往返时间之后,根据传输线末端负载的不同,输入阻抗可在零到无穷大之间变化。
当提到电缆或传输线为50Ω时,实际上是说信号沿传输线传播时受到的瞬时阻抗为50Ω。或者说,传输线的特性阻抗是50Ω。即在开始阶段,如果在相对于信号往返时间较短的时间内看测量结果,就会看到传输线的输入阻抗为50Ω。
传输线的瞬时阻抗就是信号沿传输线传播时所受到的阻抗。如果横截面是均匀的,沿线的瞬时阻抗就处处相等。但是在突变处,瞬时阻抗就会变化,比如在末端。如果末端开路,当信号传播到末端时,它所受到的瞬时阻抗就为无穷大。如果有一分支,信号在分支点处受到的瞬时阻抗就会下降。
传输线的特性阻抗是描述由几何结构和材料决定的传输线特征的一个物理量,它等于信号沿均匀传输线传播时所受到的瞬时阻抗。如果传输线不均匀,瞬时阻抗就会发生变化,这样就无法用一个阻抗来表征这条线。特性阻抗只适用于均匀传输线。
当上升边比互连的往返时间短时,驱动器就把传输线看成电阻性输入阻抗,其阻值等于传输线的特性阻抗。即使传输线的末端可能是开路,在信号跳变期间,传输线前端的特性也会像是一个电阻器。
信号的往返时间与材料的介电常数和传输线的长度有关。大多数驱动器的上升边都在亚纳秒级,所以只要互连的长度大于几英寸,就可以认为它是长线。这种情况下的跳变过程中,互连对驱动器而言就表现为阻性负载。这就是必须把所有互连看成传输线的一个重要原因。
有了这个准则,高速数字系统中的所有互连都是传输线,传输线的特性将主导信号完整性效应。对于FR4电路板上3in长的传输线而言,往返时间约为1ns。如果驱动这条线的集成电路的上升边小于1ns,那么在信号的上升边或下降边时从传输线前端看进去,驱动器受到的阻抗就是传输线的特性阻抗,即驱动器集成电路受到的阻抗表现为电阻性。
如果上升边远大于1ns,则感受的传输线阻抗将是开路。如果信号的上升边介于两者之间,当边沿在低阻抗驱动端和开路接收端之间往返反弹时,驱动信号就会看到一个变化非常复杂的阻抗。
12.5 传输线的驱动
高速驱动器驱动传输线时,传输线的输入阻抗在往返时间内表现为电阻性,其大小等于传输线的特性阻抗。如下图所示,我们可以建立驱动器和传输线的等效电路模型,并计算加到传输线上的电压。

驱动器可以建模为一个高速开关的电压源和一个源内电阻。电压源的具体电压与晶体管的拓扑结构有关。对于CMOS器件,根据晶体管所属年代的不同,电压可在1.5~5V范围内变化。这些电压是电源电压,当器件驱动纯开路电路时,它们与输出电压非常接近。
源电阻的大小取决于器件工艺,通常在5~60Ω范围内。驱动器突然导通时,电流经源阻抗流至传输线。所以,在到达引脚之前,门的内部已有一个压降,这就意味着驱动电压不是完全加到驱动器的输出引脚上的。
把这个电路等效为电阻型分压器,就可以计算出加到传输线上的电压。这时,信号将经过由源电阻和传输线阻抗组成的分压器,所以最初加到传输线上的电压就是传输线的阻抗与它和源电阻串联组合的比值,如下式:

其中,V_launched表示加到传输线上的电压,V_output表示驱动器驱动开路电路时的输出电压,R_source表示驱动器的输出源电阻,Z_0表示传输线的特性阻抗。
为了使初始加到传输线上的电压更接近于源电压,驱动器的输出源电阻就必须很小,它的重要性仅次于传输线的特性阻抗。
换句话说,为了驱动传输线,就要使加到传输线上的电压接近于源电压,这要求驱动器的输出电阻与传输线的特性阻抗相比要非常小。例如,如果传输线的特性阻抗为50Ω,则源电阻应小于10Ω。
若输出器件的输出阻抗特别低,如10Ω或更小,通常称之为线驱动器,因为这样就能把绝大部分电压加到传输线上。较早工艺的CMOS器件不能驱动传输线,因为它们的输出阻抗很高,约在90~130Ω范围内。由于大多数互连表现为传输线,驱动互连的电流产生器、高速CMOS器件必须设计成低输出阻抗门。
12.6 返回路径参考平面的切换
在多层板的平面型互连中,返回路径通常设计成平面。例如微带线,有一个平面直接位于信号路径下方,这样返回电流就很清楚。但是,如果与信号路径相邻的平面不是被驱动的平面,那么情况又会如何呢?如下图所示,信号在信号路径与另一平面之间是什么样的?返回路径又将是什么样的?

电流的分布总是趋向于减小信号路径-返回路径的回路阻抗。在传输线的起始端,返回路径将从位于第3层的底平面耦合到位于第2层的中间平面,然后又回到位于第1层的信号路径。
信号路径上的电流在悬空中间平面的上表面感应出涡流,底平面的返回电流又在中间平面的下表面感应出涡流。这些感应的涡流在中间平面上靠近信号电流和返回电流输入端的那一边相连。这样,信号电流和返回电流就被注入传输线中。电流的流向如下图所示。

驱动器把信号输入信号路径和返回路径上,而中间平面是悬空的,这时信号受到的阻抗是两条传输线的串联。如下图所示,这两条传输线中的一条由信号路径和第2层中间平面构成;另一条由第2层平面和第3层平面构成。所以,信号受到的串联阻抗为:

两平面的阻抗Z_2-3越小,信号受到的阻抗就越接近于Z_1-2。
对于多层板中的传输线,驱动器受到的阻抗主要由信号路径和与之最近平面构成的传输线的阻抗决定,而与实际连接在驱动器返回端的平面无关。

假设h≤w,两个长而宽的平面之间的特性阻抗可近似为:

其中,Z_0表示两平面的特性阻抗(单位为Ω),h表示平面之间的介质厚度(单位为in),w表示平面的宽度(单位为mil),ε_r表示平面之间材料的介电常数。
减小相邻平面之间阻抗的最重要方法就是尽量减小平面之间介质的厚度。这不仅使平面之间的阻抗最小,而且使两平面是紧耦合的。
如果平面之间是紧耦合的,并且它们之间的阻抗很小,则轨道塌陷不管怎样都很低。这时驱动器实际连接哪个平面都无关紧要了。平面之间的耦合为返回电流尽量接近信号电流提供了低阻抗路径。

如上图所示的4层电路板中,信号路径从第1层开始,通过过孔连接到第4层上。在电路板的前半部分,返回电流分布在信号路径下方的平面,即第2层平面上。另外,对于高于10MHz的电流正弦波频率分量,返回电流仅在第2层的上表面流动。
在电路板的下半部分,信号路径在第4层上,返回电流分布在靠近信号层的平面上,即第3层,并且分布在该平面的下表面。在均匀传输线的地方,返回电流比较容易跟随。显然,过孔是信号电流从第1层走到第4层的路径,那么返回电流是如何从第2层切换到第3层的呢?
如果两平面具有相同的电位,并有过孔将它们短接,则返回电流就会走这条低阻抗路径。虽然返回电流在这里会放慢一点,但它只通过平面的一个很短距离,而平面的总电感又很低,因此不会造成很大的阻抗突变。这是一种较好的叠层设计。
如果没有其他约束条件,如费用,让最相邻的参考平面具有相同的电压并使它们在靠近信号过孔处短接,就是最佳的设计准则。为了减小返回路径的压降,通常考虑在信号过孔旁边增加一个返回过孔。
但是,有时为了减少电路板层数,必须使用电压值不同的邻近返回平面。如果平面2的电压为5V,平面3的电压为0V,则它们之间没有直流通路。那么返回电流是如何从平面3流到平面2的呢?
电流只能从平面之间的电容流过。返回电流围绕出砂孔盘旋而上,并转换到同一平面的另一表面上。此时电流在两平面的内表面上扩散开,并通过两平面之间的电容耦合。电流在两平面之间以介质光速扩散开,两个返回路径平面构成一条传输线,而且返回电流受到的阻抗就是两平面的瞬时阻抗。
返回电流必须流过这个阻抗,所以返回路径上会产生压降。我们把返回路径上的这一压降称为 地弹 。返回路径的阻抗越高,压降就越大,产生的地弹噪声也就越大。所有引起返回平面改变的信号线都会加大这一地弹电压噪声,并且这些信号线也将受到其他信号所产生地弹噪声的影响。
设计返回路径的目标是:设法减小返回路径的阻抗,以便减小返回路径上的地弹噪声。通常的做法是把它们相邻放置,而且平面之间的介质要尽量薄。
分析表明,当多条信号线都在几个参考平面之间切换,而快速信号的前沿又同时出现时,在返回路径上产生的地弹电压就很大。减小地弹电压的唯一方法就是减小返回路径的阻抗。
主要的措施有以下几种:
有时认为,当在两个返回平面之间切换返回电流时,在这两个平面之间并联一个去耦电容器将有助于减小返回路径的阻抗。在两个平面之间连接的分立电容器,希望它能为返回电流从一个返回平面流到另一个返回平面提供一条低阻抗路径。
为了起到有效作用,在上升边频率分量的带宽内,实际电容器必须使两个平面之间的阻抗小于5%×50Ω,即2.5Ω。
实际的电容器都有相应的回路电感和等效串联电阻,这样就限制了分立去耦电容器对短上升边信号的去耦作用。至于长时间之后或对于低频分量而言,平面之间的阻抗原本总是很低。
当使用分立电容器减小返回路径的阻抗时,使用串联电感低的电容器比电容量大于1nF的电容器更有效。不同直流电压平面之间的电容器并不能有效地控制切换平面引起的地弹,然而它可以为较低频段噪声提供额外的去耦作用,但是随着上升边持续缩短,它仍然解决不了地弹问题。
所以在多层板中,当信号路径必须切换不同电平的返回层时,减小地弹电压的唯一方法就是使返回平面之间的介质尽量薄。
当信号改变返回平面,并且电流在两相邻平面构成的传输线中流动时,另一个问题产生了。电流在何处终止?
电流向外传播,终归要遇到板的边沿。因信号电流开关而注入两平面之间的电流在两平面之间传播散开,并在两平面之间产生瞬变电压。
由于两平面之间的阻抗很小,远小于1Ω,因此产生的瞬变电压很低。然而,当多个信号同时开关时,每个信号都给平面注入一定的噪声。开关的信号越多,产生的噪声就越大。注入平面的电流由信号的阻抗(50Ω)决定,而两平面之间产生的电压噪声取决于平面之间的阻抗。要减小这个电压噪声,就必须减小平面之间的距离,以减小平面之间的阻抗。
信号切换返回平面是噪声注入平面对的一个主导性根源。这个电压噪声会迅速回荡并形成电源分配网络中的噪声。在低噪声系统中,这个电压噪声会成为一些敏感线,比如射频接收机、模数转换器输入端、电压参考基准中的线条的主要串扰源。为了使系统中的这种噪声最小化,必须仔细选择返回平面的电压、返回过孔和低电感的去耦电容器,以尽量减少平面之间的返回电流注入量。
有时把相邻平面层之间的电压在电路板边沿之间的往返回荡称为两平面中间的 谐振 。由于导体及介质损耗,这些谐振会逐渐消失。它们之间有些频率分量与电路板两边之间的往返时间相匹配,如边长为10~20in的电路板,谐振频率范围为150~300MHz。这就是不同电压平面之间的电容器能起到某些改善作用的原因,它们帮助维持平面之间的低阻抗(在电路板的谐振频率范围内),并维持平面之间的电压为低。然而,在快速跳变期间,这些电容器并不能降低瞬变地弹电压。
为了减小谐振电压传播,特别是在小型多层封装中,避免返回电流在不同的参考电压层之间切换非常重要。相邻返回层的直流电压要设法相同,而且应当在信号过孔附近用返回过孔连接返回路径。这样就可以避免在平面之间注入电流,并避免平面谐振的产生。
从profibusDP转ModbusTCP,一网打尽转换技巧!