时间:2023-09-12 10:14
人气:
作者:admin
USB全称:Universal Serial Bus
1、USB速度:
USB1.0 :1.5Mbits/s
USB1.1 :12Mbits/s
USB2.0 Full Speed:12Mbits/s,实际上就是USB1.1改名
USB2.0 High-Speed :480Mbits/s
单片机常用的是USB2.0全速类型,高速的也有比较少,毕竟单片机的速率不是很快。以上速率只是理论值,传输1bit的速率确实是以上速率,但是USB总线有空闲时间,以及协议字节开销,并非只传输有效数据,因此实际速率远远达不到理论值。
2、USB输出电流:
USB2.0: 500mA
USB3.0: 900mA
有人说以上输出电流能力都是老黄历了,说现在的USB接口输出电流能力都比较大了,但是如果要做到非常好的兼容性,一定要按照规范设计。
3、Pin定义

4、低速、全速、高速的区别
低速设备上拉电阻在D-上,主机通过监听两个数据线的状态识别不同类型的设备,上拉电压源3.0-3.6V,如下图:

全速设备上拉电阻在D+上,上拉电压源3.0-3.6V,如下图:

高速设备也是在D+上,使用全速模式协商后切换为高速模式。
5、低速/全速信号电平

6、低速/全****速直流电气参数

7、USB数据编码
USB采用NRZI编码,NRZI编码格式原理是:翻转为0,保持为1,如下图:

注:J状态和K状态已在上面表格中罗列出。
另外,为了保证足够的NRZI编码转换,长时间的稳定电平会导致同步问题,因此在USB通讯中使用填充技术,即,6个连续的1之后填充一个0,然后再编码为NRZI格式。
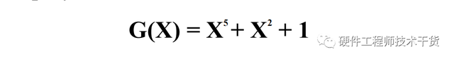
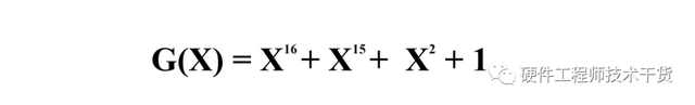
8、USB校验
USB有两种校验方式,如下:
令牌类数据包采用CRC5校验方式,多项式如下:

数据类数据包采用CRC16校验方式,多项式如下:

USB在协议层已经做了数据校验,而且有错误重传功能,跟UART通讯不一样,UART传输需要额外的增加校验方法保证数据正确性。
9、USB布线
USB走线按照90欧姆阻抗控制,严格按照差分线走线。
下一篇:浅析USB接口数据包格式
从profibusDP转ModbusTCP,一网打尽转换技巧!