时间:2023-08-01 10:13
人气:
作者:admin
由于电池仍然是电驱动系统的最主要成本构成,因此以最高效的方式使用电池提供的能量是很重要的,从电能到机械能的转换效率即电驱动系统效率就显得及其重要。为了提高效率,必须减少功率损耗:①逆变器的功率损耗必须保持在较低水平,②同时必须降低电动机的谐波损耗。碳化硅 (SiC) 技术的应用,为 800 V 系统提供了实现这两个目标的可能性。
众所周知,SiC功率器件比硅Si更高效,因为轻载导通损耗和开关损耗都更低。SiC技术可实现更高的开关频率,从而通过降低谐波损耗来提高电机的效率。SiC半导体材料特性、效率优化的模块设计以及改进的控制技术相结合,组成了由逆变器 和电机组成的高效牵引系统。对于优化设计后的系统,在 WLTP 循环中,驱动系统效率可提高4‑8%。
1. 电驱动系统效率提升
纯电动汽车 (BEV) 的成功取决于两个主要方面。汽车的购置成本和客户可用性。BEV 的电池续航里程仍然是客户可用性最重要的特征之一。
电池续航里程定义了每次电池充电的最大行驶距离和长途旅行的充电时间。这两个标准都会受到牵引系统电压水平的影响。更高的 800 V 系统电压而不是 400 V 的通用电压允许在恒定电缆横截面下更快地为电池充电(大功率充电、超快速充电)。
目前的产品中,IGBT用作逆变器中的开关元件,在 800 V 的电压下表现出效率劣势,因为IGBT开关损耗太大。要高效使用更高的电压,需要更高效的开关技术,请参见图1.
SiC‑MOSFET的应用,可以满足在高电压平台下高开关频率的高效优势,以及高压摆率 (dv/dt) 。更高的开关频率降低了电机的谐波损耗。因此,SiC是通往更高系统电压的关键技术。
如果可以找到电机和逆变器的两条随开关频率相反运行的损耗曲线之间的最佳平衡,则 WLTP 系统级(800 V Si 系统与 800 V SiC 系统相比)的效率可能提高 4 % 至 8 %)。效率描述了存储在电池中的能量与用于产生牵引力的能量之比。
因此,更高的效率可以实现在电池容量相同的情况下更长的里程,或者在电池容量降低的情况下产生里程不变。因此,提高效率是优化 BEV 成本的最大措施。SiC 技术应用带来的是系统成本优势,因为它们可以节省更多的电池。
Vitesco Technologies 正在开发一种模块化逆变器概念,用于从 400 V 到 800 V 的过渡。该开发的技术平台是基于高度集成的电驱动系统EMR4( 第 4 代)。EMR4 电驱动桥是 EMR3 的进一步发展,目前已在中国进行大规模批量生产。EMR3 已集成到欧洲和亚洲 OEM 的多款车辆中。
EMR4 的电力电子控制器(逆变 )基于第四代电力电子控制器平台(EPF4.0)。Vitesco Technologies 可以利用其在逆变器技术开发方面的广泛和长期经验来实现具有低杂散电感和优化 dv/dt 的技术。具有 SiC MOSFET 的 800 V 牵引系统的高效电力电子控制器的开发将通过 EPF 4.0的扩展实现。
2. 开关频率和电压压摆率(dv/dt)在系统层面的影响
在电机运行期间,逆变器将电池提供的直流电压转换为快速脉冲电压。该脉冲电压会产生谐波交流 (AC) 电流。交流相电流产生转子跟随的旋转电磁场。通过这种方式,脉冲电信号逐渐接近均匀正弦波形(40 kHz 及更高)的最佳值,高频损耗减小。电流的频谱变得“更干净”,从而减少了以发热形式出现的谐波损耗。
图2 显示了损耗开关频率之间的关系‑ 其中: 电机的总损耗 – PL,EM,total 逆变器总损耗 – PL,PE,total – 在牵引系统的某个工作点。 电机损耗曲线为绿色,红色为电力电子损耗。
特性曲线描述了每个参数的开关频率的理论相关性:随着开关频率的增加,电机谐波损耗Ph,total 逐渐减少,所以总电机损耗 PL,EM,total 逐步向纯正弦电流波形产生的铁损值收敛 PL,total (水平虚线)。显示的图表是电机高分辨率 FEM 模拟的结果 。灰色标记频率区域的频率相关功率损耗的准确性相对于20kHz之前要低,由于仿真的模拟步长为5us。
逆变器总损耗 PL,PE,total 由导通损耗PL,cond和开关损耗 PL,SW 组成,开关损耗随开关频率线性增加。同时,该半导体的导通损耗不受开关频率的影响。因此,逆变器总损耗预计会随着开关频率的增加而线性增加,与开关损耗的增加相同,见图2。
上述分析基础是一个 800 V 系统,逆变器中使用了 SiC MOSFET。特征曲线在图2 展示了 SiC 技术在逆变 功率模块中的关键作用,作为实现最高系统效率的关键因素。图2 进一步表明,系统级的最佳开关频率必须定义为提高效率(平衡点)的影响因素。
与Si逆变相比,SiC逆变技术的全部潜力基于开关频率和压摆率高10倍的可能性。图3演示了电压压摆率 (dv/dt) 对逆变损耗的影响。
带有 SiC MOSFET 的高效 800 V 牵引系统的当前开发研究了如何在不产生额外的干扰的情况下使用 SiC 技术的潜力(参见第 3 章和第 4 章),为了充分发挥 SiC 技术的潜力,必须考虑系统在高开关频率和高电压压摆率下的电磁兼容性 (EMC) 以及噪声振动 (NVH) 问题。如图2所示,特别是较低的开关频率对 NVH 具有关键影响。EMC正好相反,较高的开关频率和压摆率会导致更多的干扰。
3. 对逆变器的影响
当今最先进的 400 V Si‑IGBT 逆变 在 8 至 10 kHz 的开关频率下运行。电压压摆率通常高达 5 kV/µs。图 4 显示了单个逆变系统 (Si / SiC) 的差异以及不同输出功率下产生的损耗。累积的总功率损耗分为开关损耗和导通损耗。
传统 Si 技术和 SiC 技术在 800 V 下的总功率损耗之间存在显著差异。该图证实了 800 V 电压只能与 SiC 半导体一起使用。
评估逆变器的决定性因素是驱动系统在 WLTP 循环工况下的效率。图 5 说明了逆变器对 WLTP 中系统效率的影响。条形图的黄色部分显示了 800 V SiC 相对于 800 V Si 解决方案的优势——尽管在这两种情况下都只应用了 10 kHz 的开关频率和 5 kV/µs 的电压压摆率。配备 SiC 半导体的逆变 可能会在更高的频率和转换率下运行(典型值:开关频率:10 ... 40 kHz,dv/dt:5 ... 50 kV/us)。左侧的第二个栏图 5 显示了如果将 Si 逆变 用于800 V 系统,损耗将如何变化。 
图1 - 5所示SiC技术在不同方面的更高效率是基于嵌入在硅中的碳原子在材料基体中的高载流子迁移率。
由于导通电阻低,在SiC半导体中产生的热损失很低。这允许更高的开关频率,紧凑的封装空间和减少功率模块的冷却能力需求。因此,SiC半导体比Si半导体需要更小的封装空间,可以实现更高的功率密度。
3.1 更高导电性的优势
在今天的汽车牵引逆变器(400 V系统电压水平和高达10 kHz的开关频率)低损耗硅IGBT与一个并联的二极管(自由运行分别回流到电池)。反向电压(反电势)在650…750之间时,IGBT需要比较复杂的控制,但由于在额定电压下的高效率,它就像“完美的开关”一样工作。Mosfet(金属氧化物半导体场效应晶体管:简单地说:电压控制电阻)更容易控制。在Si基半导体材料基础上,在开关过程中Mosfet比硅IGBT有更高的电阻(R)(R在漏/源上= Rdson)。
在400 V时,较高的硅MOSFET功率损耗已经不适用,在800 V时,它们被排除在选项之外(见图5)。硅MOSFET的反向耐压越高,其Rdson越高。在600v电压水平以上,这种特点对整体效率有巨大影响。此外,还必须考虑在更高电压下增加的冷却成本。
在4H衬底(极高载流子迁移率的四元矩阵)中使用SiC技术的Mosfet在开关过程中表现出比使用Si技术更高的效率。低Rdson的优势是SiC MOSFET半导体在800 V逆变器应用的主要原因。
较宽的带隙和较低的表面电阻上较高的击穿电压,允许以较高的压摆率切换高电压,以上这些都是SiC的材料优势。由于更低的Rdson,开关损耗较低,可以应用较高的开关频率,见图6。特别是在轻载时,低导通损耗有对工况效率意义巨大。
考虑到所有的限制条件,例如功率模块的连接接口,SiC技术可能实现功率模块体积减少25…50%。SiC比Si具有更高的导热系数,这为热损耗的更好传导散热提供了可能。同时,SiC半导体可以在更高的温度下工作。以上这些这就提供了逆变器设计要求的高功率密度条件。
综合分析表明,SiC可以提高逆变器的效率,降低开关损耗,减少封装体积,减少冷却能力,提高工作温度,减少功率模块的重量。
与400V Si逆变器相比,400V SiC逆变器可以设计得更加紧凑。800V SiC逆变器需要更大的体积,因为爬电距离和电气间隙要求更大。
原则上,SiC技术的优势也可以与400V系统结合使用,但只有在逆变器中才能实现效率优势。额外的优势,如超高速充电需要更高的电压。为了研究SiC的优势,在整车上对一个400V SiC逆变器样机进行了测试。采用SiC技术的800V逆变器目前正处于测试阶段。
3.2 SiC的压摆率(dv/dt)优势
如图7所示,在SiC半导体中,通过增加压摆率dv/dt可以降低开关损耗。与硅相比,该技术具有更大的潜力,因为换相电路中较高的转频率和可调整的杂散电感降低了功率损耗。这就需要优化栅极源电路中的杂散电感。由于换相电路中极低的杂散电感的实现成本相对较高,因此在系统级上定义平衡的dv/dt是优化的一部分。
在一定的dv/dt下模拟杂散电感。结合开关频率的增加,可以模拟一个WLTP周期的总功率损耗。在5…20kv /µs压摆率范围内,杂散电感处于较低水平时,对WLTP损耗是明显的。
3.3 电磁兼容性
众所周知,高频开关过程会引起电磁干扰。为了在牵引逆变器中应用碳化硅Mosfet,必须研究高开关频率和压摆率与高屏蔽和滤波效果之间的权衡。图8显示了开关频率加倍(10 kHz到20 kHz)对典型测量中的干扰频和干扰强度。在20kHz时,干扰强度增加约6dB。仅仅提高开关频率并不能得到最优解决方案。必须研究SiC的最优控制参数,这将使系统具有良好的电磁兼容性能条件下,在可能的开关频率下可接受的开关损耗得到最佳的效率增加。

4. 电机设计
800V应用的一体化高效电驱动的开发基础是大规模系列生产的EMR4电机系统。EMR4将比EMR3有更大的可扩展性,更多可能的子组件组合(作为800V逆变器选项)。此外,互连设计将更加标准化,互连的可扩展性也将提高。特别是在低功耗应用中,组装空间将会减少。与EMR4设计相比,通过改变互连设计,800V电机的线圈数量增加了一倍。
4.1 采用碳化硅技术提高电机效率
第3章的功率损耗分析表明,在相同的冷却能力下,SiC mosfet能够实现更快、更频繁的开关。较高的开关频率可以提高电机的效率。开关频率越高,谐波电流越小。因此,增加开关频率可以降低逆变器提供的谐波输入功率。
图9在功率流图中演示了前面一节中描述的方面。通常的功率流(灰色)从输入功率,通过气隙功率,到轴上的机械输出功率。定子和后来的转子的功率损失是通过散热传递的。红色表示的是完全转化为热量而不影响机械功率的谐波输入功率。采用碳化硅技术可以降低800V电机的谐波损耗。
图9
4.2 800V电机的设计参数
众所周知,变频供电的电机比由恒定频率的正弦波供电的恒速运行的电机应力更大。图10显示了快速开关逆变器对电机造成的额外影响。800 V SiC技术的应用需要更仔细地观察电机的绝缘系统和轴电流。
虽然逆变器提供的上升时间很短的高频电压脉冲为高效系统创造了基础,但这些脉冲增加了对电机的压力。特别是在高输出功率时,可以观察到最高的压摆率。
系统设计的目标是在低谐波损耗和由于高开关频率和压摆率而增加的绝缘系统要求和电机的使用寿命之间找到适当的平衡。这两个方面的最佳平衡对碳化硅牵引系统的设计具有重要意义。
电机的绝缘系统必须承受过冲电压,这是由于800V的电压水平与高开关频率和dv/dt的结合而产生的。 这些系统的测试电压也会增加。电机和逆变器输出端子之间的电缆长度必须设计得尽可能短,以防止由于反射电压波而产生额外的电压过冲。
图10中的反射系数 r 和电机阻抗 Z 说明了这一方面的问题。通过选择最佳 dv/dt 以及最佳上升时间,应考虑临界电缆长度与上升时间直接相关。由于这种关系,电压上升时间不能按需要选择得那么高。这意味着要开发 EMR4 的 800 V平台,必须研究绝缘系统的行为和使用寿命。
高电压峰值会导致局部放电,因为峰值电压(例如导体和叠片之间的电压)可以达到在薄弱点破坏绝缘系统的水平(PDIV问题)。这会导致绝缘系统在短时间内发生故障。产生的电流会对绝缘系统产生永久应力。结果,系统升温并老化。
了解电压脉冲对使用寿命的影响很重要。相应的局部放电测量结果用于绝缘系统的设计。
此外,调速电机中存在在逆变器运行下引起高频轴承电流的问题。这些包括由电机轴末端电位差引起的循环电流(轴、轴承、定子、定子外壳、轴承、轴),以及电容性轴承电流(也称为 dv/dt 电流)和放电由于共模轴承电压 Ub 的时间变化而产生的放电(EDM) 电流。
当轴承润滑剂的润滑膜容量局部击穿时,EDM 电流在高振幅放电电流峰值时出现。在汽车领域,EDM 电流被认为与实际应用相关。共模轴承电压 Ub 与共模电压 U0 的比值——所谓的轴承电压比 (BVR)——可用于对预期 EDM 电流的初步估计。在不同工作点的轴承电压的高分辨率测量中,可以观察到特征电压峰值,表明相关的放电电流。可以根据轴承的使用寿命确定关键工作点。在确定潜在工作点后,对这些工作点的高比例进行连续测试,并评估轴承的使用寿命。
如图10所示,轴承电压Ub 通过电容分压器连接到共模电压 U0。它由寄生电容(绕组外壳 Cw,h,绕组转子 Cw,r 转子外壳 Cr,h)和轴承阻抗 Zb 组成。等效电路图显示了防止 EDM 电流的措施,例如使用轴接地、定子绕组头的静电屏蔽或使用控制方法将U0降至最低。

5. 系统分析
前面的章节展示了 SiC 技术在组件级别的影响和可能性。下一步是在成本和效率方面将优势整合到优化的牵引系统中,同时还要考虑 NVH 和 EMC问题。
5.1 在 WLTP 工况上转移单个特征点
为了根据扭矩-速度特性图中的测量值评估 WLTP 工况下的有效性,选择 WLTP 中累积最大的点作为测试的测量点。图 11 显示了 带有 EMR4 系统的 D级车驱动系统直方图值。定义了 35 个操作点,并在电机测试台上以不同的开关频率结合不同的压摆率进行测量。
5.2 测试结果的讨论
对测量结果的评估揭示了两个对 SiC 技术的进一步发展具有决定性意义的关键发现。对于基本测量,在逆变器中实施了高电压和低压摆率。在某些操作点,高压摆率对应于10 kV/µs,低至5 kV/µs。
图12显示了在中速范围内低扭矩的一个工作点上器件级别和系统级别的功率损耗差异。逆变器的功率损耗预计会随着开关频率的增加而增加,并且在测量精度内无法检测到 5kV/µs 和 10kV/µs 之间的差异。这是由于依赖于操作点的压摆率,它在低负载下的影响很小。另一方面,电机的功率损耗随着开关频率的增加而降低,但也会对 10 kV/µs 的更高电压转换率做出反应。这一优势补偿了由于更高的开关频率而导致的系统级更高的逆变器损耗。总的来说,它提高了系统效率。
在图13中可以观察到 10 kV/µs 对更高电流的逆变器级别的优势,因为整体逆变器损耗随着逆变器电流(分别是逆变器输出功率)的增加而增加。与低速下测得的性能相比,电机性能可能没有变化,但在高于 8 kHz 的更高开关频率下,在系统级仅观察到微小的改进。通过调整更高的压摆率,图 13 中观察到的优势应转移到特性曲线中的所有操作点。 
5.3 WLTP 节能评估
测量值用于校准逆变器和电动机的仿真模型,以识别 WLTP 循环中的整体效率,并模拟未来的其他工况循环。为了初步表明SiC技术的效率潜力,系统级的测量损耗已转换为特性图。已经通过适当的插值方法建立了足够精确的网格,以表示驱动模拟中的整个循环。图14显示了作为示例的特征系统图,电压压摆率为5kV/µs,开关频率为12kHz。

图15显示了D级车辆在WLTP循环中的结果,限值介于5kV/µs(6和12 kHz)和 10kV/µs(6和12kHz)之间。WLTP中PWM频率的增加导致电机效率的增加。此外,它证实了逆变器输出电压压摆率的增加会导致逆变器中6kHz和12kHz的电气损耗降低。
根据图14和15,计算出的逆变器损耗减少值低于开发目标。因此,测得的工作点效率提高和随后映射到 WLTP 表明,通过减少碳化硅半导体的开关损耗,WLTP 可以实现显著优势。优化的下一步是增加频率和电压压摆率。
5.4 优化
从所进行的研究可以推断,通过在逆变器中使用碳化硅半导体,除了调制方法和开关频率变化等控制策略的经典参数外,还可以使用新参数来提高效率。 电压压摆率提供了除开关频率之外优化系统效率的可能性。Vitesco Technologies 拥有 iMCO 工具,能够在多标准优化中找到相关参数之间的最佳平衡。根据结果,可以开发控制策略,在潜在的批量生产中充分利用牵引系统中碳化硅半导体的潜力。
6. 总结与展望
由于提高效率的巨大力,半导体材料碳化硅的使用面临着高压应用的突破。系统优化提供了实现逆变器和电机最大效率的解决方案。使用 D 级车的例子,通部分工作点的效率提升分析,映射到它们对 WLTP 有效性的影响,提升WLTP工况里程。
众所周知,碳化硅在开关状态下比采用硅 IGBT 的当前标准解决方案具有更高的电导率。在车辆层面,与 Si IGBT 相比,使用 SiC MOSFET 可将 800 V 电压水平的系统效率提高多达 3%。除了这一优势之外,碳化硅还可以显着提高逆变器输出的电压压摆率 > 20 kV/µs(理论上),这是当今的硅半导体解决方案所不能达到的指标。
与 Si IGBT 相比,在相同开关频率下的逆变器可以进一步提高 2-4% 的效率。这已在某些操作点上得到验证。然而,WLTP 中最佳开关频率和电压压摆率的全部潜力的发挥需要进一步研究。
通过增加开关频率,由于较低的谐波电流和较低动态损耗,电机得到了更高的效率。
开关频率的增加通常会导致逆变器中开关损耗的增加。使用碳化硅半导体的解决方案可以通过提高电压转换率来降低作为逆变器开关频率函数的整体开关损耗。这种效果可以积极地用于提高逆变器和电机系统的效率。
总体而言,电动机频率的增加导致效率进一步提高 1-2%。为了减少效率劣势,必须在 EMC 约束允许的情况下将电压压摆率调整为最高。通过使用 SiC 代替 Si 半导体,系统优化在 800 V 的电压水平下总共提高了 6 – 8% 的效率。
开关频率增加到 20 kHz,电压压摆率增加到 15 kV/µs 是开发过程的下一步。这并不代表碳化硅可以获得的最大可能值,但考虑到绝缘和 EMC 行为,这些参数在大规模批量生产中是可能的。
Vitesco Technologies 开发的逆变器在模块化设计中进行了优化,以使用碳化硅并实现最高效率。半导体和模块设计的关键参数在系统范围的优化中被识别和调整。杂散电感的最佳范围可以确定为优化的关键参数,以便在某个开关频率下最小化开关损耗。
为了实现 SiC 技术的效率提升,除了压摆率和开关频率的工作点相关调整之外,还必须软件优化及算法优化进一步提升系统效率。
对于典型的 BEV,电池能量存储通常在30到100kWh之间,这约小于等于335 英里的行驶里程。目前的快速充电技术额定功率为50kW,为电池充电需要35-120分钟 ,但从消费者的角度来看,更快的充电时间可以最大限度地减少行驶里程限制带来的不便。例如,通过将快速充电功率水平从50kW提高到150kW,充电时间减少了三分之二。但是,如果充电电压水平保持在典型的400V,充电电缆的额定电流增加了3倍,体积变大,传导损耗增加了9倍,需要改进冷却系统以避免过热。保时捷推出了800V系统电压,充电速率高达350kW,这意味着只需 15 分钟即可为 87kWh的电池充满电。此外,ABB 还推出了模块化“Terra Hp”充电系统,能够为400和800V电池充电,充电功率为175或350kW。
除了超快充电优势之外,与配备250-450V电池的传统BEV 相比,800V BEV 还具备更多优势,包括在给定的电池电流限制下更快充电、由于较低的 I^2*R 损耗而导致的车辆损耗较低,以及由于电流较小而需要较小的电机和接线尺寸等。以前,为动力系统配备更高电压水平的想法在丰田普锐斯中部分实施,仅用于电机和逆变器,其中在电池之后和逆变器之前采用升压转换器,以将直流母线电压提高至650V用于提高电机性能并使其能够在高速区域运行。此外,重型车辆是 800V 电池的主要应用者,因为它们具有更高的运行功率,包括电动巴士和电动卡车。然而,更深入的研究对于评估动力总成电压增加对不同动力总成部件的设计和性能的影响至关重要,本文填补了这一关键空白。
图1显示了 BEV 的基本配置,其中电池是动力总成组件的主要能源提供者。电池为两个重要部分提供动力:通过逆变器作为动力总成核心的驱动电机和作为高压(HV)动力总成和低压(LV)动力总成中间部分的辅助电源(APU)配件和负载。目前,大多数BEV的电池电压水平通常在250到450V之间变化。通过使用 800V电池,需要重新设计许多电气组件以适应新的电压和电流。在本文中,进行了全面分析以研究使用800V电池对主要动力总成电气组件的影响。第二部分讨论了从400-V升级为800-V 对电池的影响。第III-VI节分别讨论了400-V BEV中电机、逆变器、APU、充电机的现状和技术,以及使用 800-V 电池时对它们的设计和工作的影响。第七节总结了未来趋势,第八节总结了本文。本系列先看到第四节,下个系列我们继续看后面的内容。
1. 动力电池
车辆电池组由多个串联和并联的电池单元组成,因此可以针对任何电压进行设计。迄今为止,大多数生产的BEV已将600V额定值的IGBT模块用于其牵引逆变器,从而将其电池组电压限制在400V左右的峰值。因此,BEV 通常使用约96个串联连接的电池单元,例如,当使用 4.2V 峰值锂离子电池时,峰值母线电压为 403V。迄今为止,此类电池组在车辆上运行良好,但充电功率受限于直流快速充电电缆的最大电流,这为使用 800-V 电池组提供了动力。
直流充电电缆可以提供的最大电流是因为需要电缆足够轻便灵活,以便用户轻松处理,将风冷电缆限制在 250 A 左右,将液冷电缆限制在 500 A 左右,如表 I 所示。因此,400-V 电池组可以以大约 200 kW 的最大速率充电,如图 2(a) 中电缆损耗与充电器电流和功率的关系图所示。虽然 200 kW 是一个高功率水平,但在 20 分钟或更短的时间内为配备 100 kWh 大型电池组的车辆充电是不够的,这是大多数下一代超快速充电车辆的目标。将总线电压增加到 800 V 允许使用相同的电缆将充电功率增加一倍,从而能够以高达 400 kW 的极高速率充电。

为了说明400-V和800-V电池车辆之间的区别,可以对比具有400-V母线的特斯拉Model3和具有800-V母线的保时捷 Taycan。Model 3 和 Taycan 是两种最快的充电车辆,分别在26 分钟和22.5分钟内从5%的SOC充电到80%,它们采用了不同的设计理念。Model3的总线电压较低,最大充电功率为 250 kW,这是通过使用 661 A 的非常高的最大充电电流来实现的,如表二所示。这种高充电电流对于 Model 3 来说可能是实用的,因为它采用了专有的充电系统,该系统在每辆车的同一位置都有一个短电缆和一个插头,最大限度地减少了插入车辆的人体工程学挑战。保时捷 Taycan,在另一方面,凭借其 800-V 电池组,可实现 270 kW 的峰值充电功率,最大充电电流为 340 A,由传统的直流快速充电器和插头提供。两种车辆的充电功率与电流的关系如图 2(b) 所示,可以看到Taycan 的充电功率比 Model 3 略高,并且使用 800-V 可以实现高达 400 kW 的功率和 500 A 的充电电流。


虽然更高的电池组电压对于增加最大充电功率是可取的,但它确实以额外的复杂性为代价。 800V电池组需要两倍数量的串联电池,因此,需要两倍数量的电池管理系统 (BMS) 电压检测通道,电流传感器、接触器和温度传感器的数量可能不会改变。BMS 成本 CBMS 可以使用以下公式计算,其中 Ns 是串联电池的数量,CVsense 是每个电池电压感应通道的成本,NTsense 和 CTsense 是温度传感器的数量和成本,CIsense、Ccontacto r、和 Ccontroller 分别是电流传感器、接触器和控制器的成本。通过常用组件的定价,可以确定 400-V 和 800-V 电池组的 BMS 成本之间的近似关系。假设 400-V 电池组使用 96 个串联电池,800-V 电池组使用 192 个串联电池,每个电池电压感应通道 2.25 美元,36 个温度传感器,每个温度传感器 1.00 美元,每个电流传感器和接触器 100 美元,和控制器的 50 美元,确定了400-V电池组的BMS总成本为602美元,800-V电池组的总 BMS 成本为818 美元。电流传感器和接触器成本基于 LEM CAB 500 汽车电流传感器和 TE Connectivity EV200 接触器的定价;考虑到外围组件、印刷电路板、连接器和布线成本,假设电池电压检测成本是 Analog Devices LTC6813 电池监控芯片每通道成本的三倍;温度传感器和控制器成本是保守的假设。虽然任何电池组设计的成本结构都是独一无二的,但 800-V 电池组 BMS 的成本将不可避免地更高,如此处近似以及表 III 和 IV 所示(大约高出 1/3 或 200 美元的成本)。
800V 电池组需要 BMS 算法的额外计算复杂度,因为必须监控更多的电池。800 V 电池组的电池组接触器、保险丝和电缆的额定电压也必须至少为 900 V,而 400 V 电池组的额定电压则为 500 V。然而,对于 800V 电池组,在电池组和牵引逆变器、快速充电端口和其他 HV 系统之间传输电力的直流电缆的横截面积可以减少,从而导致车辆质量有所减少。例如,特斯拉 Model 3 在电池组和快速充电端口之间使用 3/0 AWG 铜缆。对于 800-V 系统,将此电缆面积减少一半至一根 AWG 电缆,对于每米长的正极和负极电缆,可减少 0.76 kg 的铜质量。任何电缆成本节约将取决于车辆中高压电缆的总长度以及所用电缆之间的成本差异,并且可能转化为 800V 车辆的数十美元成本节约。更高电压的电池组还需要为 HV 组件提供额外的绝缘和间隙,如表 III 中所列,这可能会增加电池组的尺寸。

电池组电压也会影响可靠性。具有四并联五串联 (4p5s) 配置的示例电池组将在 25°C 下可靠地执行约 1000 次循环,而两并联 10 -series (2p10s) 配置包将可靠运行至仅 800 个周期。4p5s 配置代表 400-V 电池组,而 2p10s 配置代表 800-V 电池组,因为它的电池数量与 4p5s 配置相同,并且配置为两倍电压。高压电池组的可靠性损失是由于单个电池故障对电池组容量的影响。更多的并联电池,如在较低电压组中出现的那样,导致更高的可靠性,可靠性评价反映在表 IV 中分配的可靠性评级中。总之,从电池组的角度来看,主要800-V母线的动机是实现更高的充电率,最高 400 kW,最大充电电流为 500 A。对于不需要以如此高的速率充电的应用,400-V母线可能仍会产生具有成本效益和能量密集的设计。为帮助车辆设计人员考虑权衡,表 IV 中提供了定性分析,其中强调了 400V 系统的BMS成本更低,能量密度和可靠性略高,因为 HV 汇流条周围和印刷电路板上的电气爬电距离和间隙要求降低。电路板,而 800-V 系统具有更小的电源线和更高的快速充电速率的潜力。表 III 显示 400-V Model 3 和 800-V Taycan 电池组的能量密度分别为 163 和 148 Wh/kg,支持较低电压电池组可以获得更高能量密度的说法。切换到 800 V 电池组还有可能提高动力系统效率,特别是牵引逆变器效率,如第 IV 节所述。

驱动系统这种提高的效率可以允许电池组的一些尺寸缩小,并且这些成本节约以及直流电源布线的成本节约可以抵消 800-V 电池组的额外BMS成本。未来,随着供应商的组件变得越来越普及,以及工程师开始确定如何平衡车辆的成本效益和损失,越来越多的车辆可能会开始使用800-V母线架构。
2. 驱动电机
近年来,牵引电机最重要的趋势之一是向更高的直流母线电压发展。相当一部分商业化电机的直流母线电压已超过500V。YASA 为 Regera 超级跑车开发的轴向磁通永磁 (PM) 电机可实现800V的直流母线电压。保时捷 Taycan 是首批在生产中采用采用新型800-V技术的永磁同步电机的OEM 之一 。本节将讨论为牵引电机应用更高直流母线电压的潜在优势和挑战。

A. 电磁性能增强
作为一个突出的例子,Toyota Prius 驱动电机的最大直流母线电压从2004年设计中的500V增加到2010年设计中的650V。升高的电压范围允许更高的速度运行,如图 3 所示。假设稳态运行并忽略定子电阻,永磁电机的相电压:

其中 Ld 和 Lq 是 d - 和 q 轴视在电感,Id 和 Iq 是 d 轴和 q 轴电流,ω 是电角速度,m 是磁链。相电压受逆变器最大输出电压 Vmax 的限制:

该电压源自直流母线电压,其中 ma 是调制指数,Vdc 是指直流母线电压。因此,电机速度的约束可以计算为对于给定的设计,随着直流母线电压的增加,电机的基本速度成比例增加。

此外,较高的电压允许较低的d轴电流以补偿高转速下的磁链并减少铜损。这反过来又确保了在弱磁区域更高的连续功率,并提高了电机功率密度。这就是为什么2010款普锐斯的电机功率密度比2004款车型提高了45%的原因。因此,从电磁性能的角度来看,将直流母线电压增加到 800 V 将是有益的,因为由于扩展的速度区域,它降低了实现相同输出功率所需的最大扭矩。由于电机尺寸通常与其扭矩能力成正比,电机体积和质量也可受益于更高的电压水平,从而带来更高功率密度的牵引电机设计。
B. 热和机械约束
考虑相同的额定功率,电压越高,电流越小。这导致电缆横截面积和质量的减少。根据欧姆定律,较低的电流直观地降低了铜损。另一方面,增加的电压水平需要更多的串联导体,这会导致相电阻的增加。正如 2004 年和 2010 年普锐斯电机效率曲线所证明的那样,通过应用更高的直流母线电压可以实现更低的铜损和更高的效率。随着转速的增加,铁损、机械损耗和交流铜损也会增加。这使得热约束更加重要。由于更高的电压导致的高速运行也带来了机械应力的挑战。机械应力与转速的平方成正比 ,转子应设计良好并平衡,以减少偏心对电机性能的影响。可以采用一些技术来减少机械应力,方法是添加加强筋或在转子极片中引入凹槽 。但是,这些补救方法不可避免地会增加转子结构的复杂性。此外,电机的电磁性能受到改进的转子结构的影响,在所有这些方面,电机的多学科设计至关重要。
C. 局部放电风险评估
电气绝缘系统是电机正常运行的关键部件之一。高压电机的一个重大挑战来自定子绝缘系统中的局部放电 (PD)。PD(也称为电晕放电)是当电压应力超过临界值时导体之间绝缘的瞬时击穿 。伴随着放电点附近绝缘层的侵蚀,这会导致绝缘系统的退化,并最终导致绝缘完全失效。因此,完全避免 PD 以确保电机的可靠性至关重要。
然而,当直流母线电压升高时,槽绝缘中发生局部放电的风险更高。更严重的是,电力电子逆变器产生的脉宽调制 (PWM) 波形会在电机端子处产生复杂的过电压,实际测量的最大过电压高达直流链路电压的两倍。因此,当使用 800V 直流母线电压时,需要仔细评估绝缘系统中的 PD 风险。
图 4 描述了 PD 风险评估的程序。为了确定最大过电压,需要一个包含电压源逆变器、传输电缆和电动机的系统模型。电压尖峰随几个因素而变化,包括半导体器件的开关频率、电缆长度、转速和电机的扭矩水平。对于直流母线电压为 800 V 的绕线电机,最大线间电压可以超过 1 kV。

在计算出最大过电压后,应进行静电分析估计定子槽内的最大电压应力。考虑导体尺寸和绝缘厚度获得电场分布。由于固体绝缘体的介电强度通常很高,因此在槽完全填充绝缘体的理想情况下,PD 不太可能发生。然而,绝缘体之间存在的小气孔,无论是有意的还是由于可能的制造缺陷,都会显着增加电压应力水平和 PD 风险。气体中的电压应力是固体绝缘体中应力的几倍,并且气体的击穿电压应力显着降低 。根据Paschen定律评估具有小空隙的槽的PD风险。如图 4 的底部方块所示,当施加在空气空隙上的电压高于 Paschen 曲线上的击穿电压时,就会发生 PD,这也称为 PD 起始电压 (PDIV)。应该指出的是,PDIV 与空隙厚度和压力水平高度相关。此外,电机设计以及材料和包装的选择在降低局部放电风险方面发挥着关键作用。因此,需要仔细设计电机以确保在较高的总线电压下正常运行。
总之,在考虑电机电磁性能时,向 HV 移动是有利的,因为它可以提高电机功率密度,同时减轻电机重量。潜在的挑战在于转子结构的稳健性和 PD。使用目前的技术,可以实现高达 20000 rpm 的运行速度,这对于 800-V 电机来说是令人满意的。可以通过修改定子绕组配置或采用具有高介电强度的槽和线绝缘体来降低局部放电风险。
从以上分析表明,从电机的角度来看,采用 800V 直流母线电压是有利且可行的。
3. 逆变器
A. 400V BEV 中的逆变器
逆变器根据驱动器的需要调整电机的输入电压和电流以产生特定的扭矩和速度输出。在 BEV 和 HEV 应用中,电机和逆变器额定功率通常在 50 到 250 kW 之间。基于此功率范围并根据 BEV 应用要求,例如高效率和高功率密度,众所周知的架构是两电平半桥逆变器、三电平中性点钳位 (NPC)图 5 中显示的逆变器和 Z 源逆变器。两电平逆变器是目前主要拓扑结构,因为简单和低组件数。两电平逆变器由六个开关组成,每个开关的额定电压等于电池电压。逆变器性能的评估基于两个主要标准:输出电压的总谐波失真 (THD) 和输入到输出效率。
逆变器输出电压中较高的 THD 相当于向电机绕组注入更多谐波,从而导致电机内部出现更多功率损耗。因此,希望尽可能地降低 THD。可以根据实施的调制技术和开关频率来确定THD。正弦PWM(SPWM) 和空间矢量调制 (SVM) 是BEV 应用中牵引逆变器的两种常见控制技术。与SPWM相比,SVM在THD和效率方面显示出优势,但其实现需要具有高计算能力的数字控制单元。为了提高效率和 THD,可以使用软件和硬件方法。在软件方法中,重点是增强调制技术的开关模式,以减少功率损耗或提高 THD。在硬件方法中,重点是利用宽带隙 (WBG) 半导体,例如碳化硅 (SiC) 或氮化镓 (GaN) 开关。与硅MOSFET和IGBT相比,SiC 和 GaN 具有更快的开关行为以及更高的工作温度额定值,从而导致更高的效率和更低的 THD。WBG 器件的更高工作温度还可以降低逆变器热管理系统的复杂性。
图 5(b) 显示了一个三电平 NPC 逆变器,与图 5(a) 相比,它使用了更多的开关,但每个开关的额定电压是传统两电平逆变器的一半。与两电平逆变器相比,三电平逆变器的最大优势是输出电压 THD 的显着改善,从而减少了输出端所需的滤波器尺寸。然而,平衡NPC逆变器的中性点电压至关重要,这是一项具有挑战性的任务。其它文献中提出了多种控制技术来解决平衡问题,但与两电平逆变器相比,控制要求更加复杂。此外,由于内部开关 [图 5(b) 中的 Sa2 和 Sa3] 在一个电气周期中与其他开关相比,功率损耗在三电平 NPC 中并不均匀。
图 5(c) 提出的 Z 源逆变器。Z 源逆变器由一个两电平逆变器组成,在输入级有一个额外的 LC 网络,可以相应地调整三个桥臂上的直流电压。在 Z 源逆变器中,支路允许在每个开关间隔内短时间短路。LC 网络在短路间隔期间充电以在降压或升压模式下工作;与图 5(a)和(b)所示的架构相比,这是 Z 源逆变器的主要优势。以前的研究已经研究了 Z 源逆变器在 BEV 和 HEV 应用中的可行性。Z 源逆变器在燃料电池汽车中的使用较多,因为它可以降压或升压燃料电池电压。此外,带有简单半桥降压的传统两电平逆变器相比,Z 源逆变器采用更小的无源元件。然而,如果不需要降压或升压,传统的两电平逆变器是成本较低的选择。

在本节中,选择图 5(a) 中所示的传统两电平逆变器用于比较 400-800-V 逆变器的案例研究,因为它是最常见的架构。在第一个案例研究中,800-V 逆变器驱动 400-V 电机;第二,它以相同的输出功率驱动一个 800-V 电机。第一项研究代表使用更高电压的电池来改善快速充电的情况,但使用更传统的 400-V 电机;第二项研究代表了整个车辆为 800-V 操作而重新设计的情况。对于这两个案例研究,电机的额定功率相同,这意味着逆变器的额定额定功率也相同。
1) 第一个案例研究,800V逆变器驱动400-V 电机:对于 PMSM,转矩与逆变器相电流成正比,而速度与逆变器相电压的频率成正比。因此,两个假设逆变器的标称规格可以表示如下:

逆变器输出功率可以表示如下:

其中 Vphase 是逆变器相电压,Ø 是逆变器输出电压和一相电流之间的相位差。
以上等式可以组合得到以下:

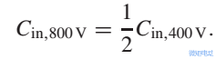
图5(a) 所示架构的直流链路的标称电压为 800 V,这意味着开关电压额定值必须大于 800 V–1.2 kV。与可以使用 650V 开关的 400V 逆变器相比,这导致总成本更高。但是,800V 逆变器的标称开关电流将保持不变。输入滤波电容器的额定电压 [在图 5(a) 中用 Cin 表示] 也增加到 800 V。Cin 所需的最小电容可以通过以下公式计算:

其中Iphase,rms 表示逆变器相电流的 rms 值,Vdc% 是电容器上允许的最大电压纹波百分比,Vdc 是电容器的标称平均电压,fs是逆变器开关频率。对于 800V 逆变器,Iphase,rms 基于上面分析不变。如果假设 400-V 和 800-V逆变器的电容器两端允许相同的电压纹波百分比,并且使用相同的开关频率,则只有 (9) 分母中的 Vdc 在 800-V 逆变器中加倍。因此:

电容器成本和尺寸可以根据电容器存储的能量进行估算,表示为 E = 1/2CV^2。对于所描述的两种逆变器,电容器标称储能之间的关系:

式中E越大,电容越贵,体积越大,整个逆变器体积越大,功率密度越低。等式表明,如果两个动力系统使用相同的电机,逆变器的总尺寸将从400-V BEV 增加到 800-V BEV。
对于两电平逆变器,逆变器相对于调制指数的最大线间电压由下式表示:

其中 Vl-l 为线间电压线电压,m 是调制指数,Vdc 是输入直流母线电压。等式:

基于上述等式,对于每个特定的转矩/速度工作点,800-V逆变器的调制指数是400-V 逆变器的一半。图 6 显示了特定开关频率下输出电压 THD 和调制指数之间的关系。根据图 6,THD随着调制指数的降低而恶化。因此,根据等式,当使用 400V 电机时,与 800V 逆变器相比,400V 逆变器将提供更好的输出电压和更低的THD。


2) 第二个案例研究,800V逆变器驱动800V 电机:电机输出功率表示为 Pout = τ ω,其中 τ 是转矩,ω 是角速度。在 PMSM 电机中,扭矩和反电动势 (EMF) 可以分别表示为:

其中K1 和 K2 是常数系数,p 是极对数,ψp 是转子 PM 的总通量,Is 是定子电流或逆变器相电流。基于上式,更高的输出扭矩需要更高的相电流。同样,具有更高速度的电机会产生更大的 EMF,并且需要一个逆变器,该逆变器能够以其输出电压产生能力来克服 EMF。因此,本研究考虑了 800 V 额定电机,其扭矩为 400V假设电机的一半,速度为 2 倍,以适应800V逆变器。最终传动比将加倍以提供车轮所需的扭矩。扭矩降低 - 速度增加方法的优越好处是基于电机的定子电流的降低。定子电流的降低显着降低了电机绕组的传导损耗。对于第二个案例研究,当运行800-V电机时,对于800-V逆变器,以上等式可以像表 V 中那样重写。可以根据上述等式和表 V 计算和比较两个案例研究的功率损耗。对于 SPWM 调制技术,传导损耗可以表示为 :

其中 Isw 和 Idi 分别是开关及其反并联二极管的平均电流,Vsw 和 Vdi 是电压开关及其体二极管的压降,RON 是开关导通时结的内阻。最后,Isw,rms 和 Idi,rms 是开关和体二极管的均方根电流。对于 SPWM 调制,Isw、Idi、Isw,rms 和 Idi,rms 可以根据表 VI 计算。

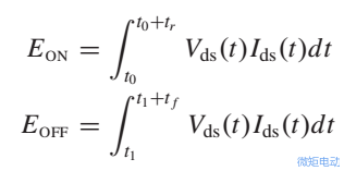
在表六中,I p代表逆变器相电流的峰值幅度。开关损耗可写为:

其中EON 和 EOFF 是导通和关断瞬态期间的能量损耗。EON 和 EOFF 可表示为 :

其中 Vds(t)是关断和导通瞬态间隔期间开关的漏源电压,Ids(t) 分别是关断和导通瞬态间隔期间的开关电流。在上述等式中,t0 是从关断模式到导通模式的瞬变开始时间,tr是总上升时间。t1 是从开启模式到关闭模式的瞬变开始时间,t f 是总下降时间。在等式中中,Vds(t0) = Vdc, Vds(t0 + tr ) =0,Vds(t1) = 0, Vds(t1 + tf ) = Vdc, Ids(t0) = 0, and Ids (t1 + tf ) =0。然而,由于逆变器输出电流是正弦的,Ids(t0 + tr ) 和 Ids(t1) 在电循环期间在上述等式中变化。因此,在一个电气周期期间,EON 和EOFF 从一个开关周期变为另一个。结合上述计算,得到了正弦电流的总开关损耗。对于正弦电流:


其中Emax 为 EON + EOFF,当 Ids(t) = I p 时,总开关损耗由上述等式表示。为了获得更好的评估,400- 和 800-V 逆变器选择了SCT3017ALHRC11 和 SCT3022KLGC11。SCT3017ALHRC11 是 650V N 沟道 SiC 功率MOSFET,SCT3022KLGC11 是 ROHM 半导体的 1.2kV N 沟道 SiC 功率 MOSFET。表 VII显示了功率损耗计算的进一步规范。图 7 显示了三个不同逆变器的功率损耗,这些逆变器由表 VII 中的开关组成,在 fsw = 50 kHz 下运行,额定功率为25 kW。在图 7 中,400-V 逆变器在 m = 1 和 Iphase = 66 A 时产生其标称功率。由于 800 V 直流电压,第二个逆变器在 m = 0.5 时产生相同的 Iphase = 66 A,并且被称为带有 400 V 电机的 800 V逆变器,因为逆变器相电流与400-V 的情况。第三个逆变器设计为在较低的相电流 Iphase = 33 A 下运行,就像设计用于 800 V的电机的情况一样。因此,第三种情况称为 800-V 逆变器和 800-V 电机。根据图 7,800-V 逆变器和 800-V 电机的组合功率损耗最低,而800-V 逆变器和 400-V 电机组合的功率损耗最高。

图8 显示了图 7 中描述的三个逆变器在其标称额定值(fsw = 50 kHz,cosFi = 0.9 和 Pout = 25 kW)下的不同功率损耗分量。图 8 显示运行 400 V 电机的 800 V 逆变器具有最高的总传导损耗、最高的开关损耗和最高的总功率损耗。对于图 8 中驱动 400-V 电机的 800-V 逆变器,可以根据损耗计算公式中较小的 m 来证明最高的体二极管传导损耗是合理的,而体二极管的平均电流和 rms 电流增加时m 减小。图 8 还展示了运行 800V 电机的 800V 逆变器的最低传导损耗,这是由于相电流减半。虽然带有 800-V 电机的 800-V 逆变器的开关损耗略高于 400-V 逆变器,但传导损耗占主导地位,因此带有 800-V 电机的 800-V 逆变器效率最高。因此,该分析表明,随着用于快速充电目的的 800-V 电池的出现,不再使用以前的 400-V 电机效率更高。


图 9 比较了所考虑的三个逆变器的输入电容器要求。根据图 9(a),驱动 800V 电机的 800V 逆变器需要最少的电容来执行相同的滤波效果。图 9(b) 显示运行 800V 电机的 800V 逆变器的总标称能量与传统的 400V 逆变器相似,可以解释为输入电容器的总尺寸和成本为上述两种情况大致相同。可以根据图 6 和表 V 比较三种逆变器的相电压 THD,可以得出结论,400-V 逆变器和 800-V 逆变器与 800-V 电机具有相同的 THD 值,而带有 400 V 电机的 800 V 逆变器由于在较小的调制指数附近运行而具有较高的 THD 值。
关于包括逆变器、APU 和车载充电机在内的电力电子设备的可靠性,400-V BEV 和 800-V BEV 之间的主要区别在于从 650-V 开关更改为 1200-V 开关。一般而言,1200-V SiC MOSFET 已被证明非常可靠,并且不会出现 3300-V MOSFET 中由于重复的三象限脉冲浪涌电流而导致的stacking faults。尽管很少有研究直接比较 650-V SiC MOSFET 与 1200-V SiC MOSFET 的可靠性。有文献比较了 650-V/10-A 和 1200-V/19-A SiC MOSFET 之间的栅极-氧化物退化,通过阈值电压、栅极-平台电压和栅极-平台时间测量。它发现,虽然这三个参数在所有器件的实验测试期间都有所增加,但发现 650-V/70-A 器件的总体偏移要高得多。这是由于较高额定电流器件的栅极氧化层面积较大,这意味着栅极氧化层退化在具有较高额定电流的 SiC MOSFET 中更为明显。由于 400-V BEV 需要更高额定电流的器件,所以 800-V BEV 中的 MOSFET 可靠性可能会略高于 400-V BEV 中的可靠性。第二个考虑因素是直流支撑电容器的寿命。根据汽车级金属化聚丙烯薄膜电容器制造商 Vishay 的说法,电容器寿命由工作电压与额定电压和温度的比率决定。因此,如果工作温度相似并且选择具有相同额定值的电容器(即,600V 电容器用于 400V BEV,1200V 电容器用于 800V BEV),则电容器寿命应大致相等。
总而言之,转向 800-V 电池使设计选项可以使用标准 400-V 电机或 800-V 电机。保留 400 V 电机的主要优点是在车辆重新设计时需要较少的工程量。然而,第 III 节已经表明,由于 800 V 下电机的电磁性能得到改善,从电机的角度来看,800-V 电机有利于提高电机功率密度。从逆变器的角度来看,第四部分表明,在 800V 电池和 800V 电机之间使用的逆变器将具有更高的效率、更好的 THD、更低的直流支撑电容器尺寸和成本。此外,与标准的 400V 动力系统相比,全 800V 动力系统将具有更高的逆变器效率和类似或略高的可靠性。因此,电机和逆变器分析都显示了向 800-V 动力系统发展的前景。
小结
本文总结了在电动汽车中采用 800V 电气系统的好处和挑战,主要目的是提高快速充电率,这可能会促进电动汽车的应用推广。
----对于更高电压的 800 V 电池,由于需要传输更少的电流,从电池传输电力的车载电缆将具有更小的尺寸和质量。但是,为了监控更多串联电池,BMS 成本将增加,并且需要更高的电池组连接器、保险丝和电缆额定电压。此外,更大的电气绝缘可能导致更大的包装。
---- 对于电机,由于在弱磁区增加电机功率,更高的直流母线电压将导致更高的功率密度。然而,由于更高的机械应力(来自更高的转速)和防止 PD 的需要,电机设计变得更加复杂;本文讨论了将 PD 考虑因素纳入电机设计的一般方法。
---- 对于考虑了两种逆变器情况:800-V 逆变器(在输入端)为 400-V 或 800-V 电机供电。分析表明,逆变器与 800V 电机配对可产生最高的效率和最低的滤波电容器要求。
审核编辑:刘清
从profibusDP转ModbusTCP,一网打尽转换技巧!