时间:2023-07-12 14:41
人气:
作者:admin
针对三相LCL型光伏并网逆变系统中,直接功率控制(DPC)开关频率不固定、电流闭环控制动态响应慢的缺点,本文提出一种内环采用电流控制、外环采用功率控制的准DPC 方法,兼顾DPC和电流控制的优点,且具有动态响应快、开关频率固定和电流正弦度高的优点。通过在Matlab/Simulink 中搭建控制系统仿真模型,结果表明该控制策略具有一定的可行性。
1
LCL型滤波器的三相并网逆变器模型
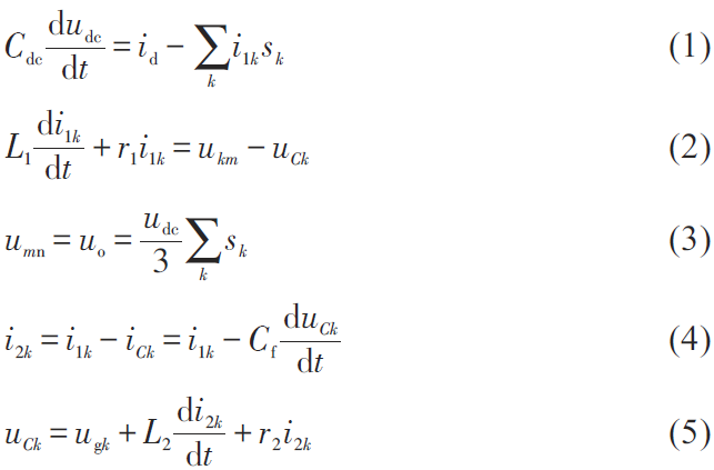
图1 为采用LCL 型滤波器的三相光伏并网发电系统的拓扑结构。三相并网逆变器主电路包括输入直流母线滤波电容C、6 个绝缘槽双极型大功率晶体管(IGBT)开关管组成的三相全桥电路,以及由滤波电感L1 、L2 和滤波电容Cf 组成的三阶滤波器。图1 中,u、i 分别为电压、电流;id 为二极管D 的电流;VT 为晶闸管;r1、r2 为滤波电感L1、L2 的内阻;ug 为电网电压;下标dc 表示直流;下标a、b、c 分别对应逆变器的A、B、C 三相。

在三相电网电压平衡的条件下,逆变器三相状态方程为:

式中,下标m=α、β ;下标k=a,b,c; udc为光伏并网逆变器直流母线电压; idc 为光伏并网逆变器直流侧输入电流; s 表示开关函数;下标o 表示支路的开关状态为开;下n 标表示中性点处。

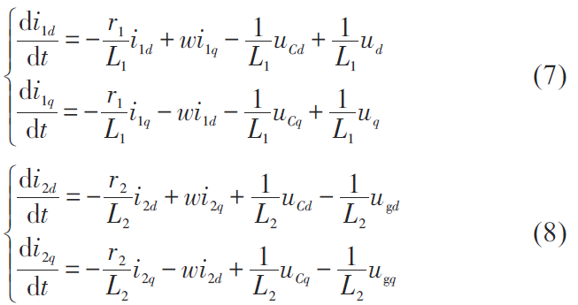
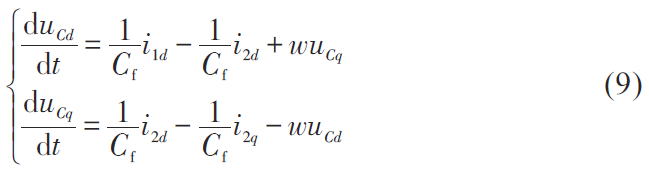
根据克拉克变换,可得到三相并网逆变器在αβ 坐标系下的状态方程为:

式中,w 为三相并网逆变器等效控制角频率。

2
相并网逆变器控制策略模型的建立
图2 为准DPC 三相并网逆变器控制原理图,该系统主要由母线电压控制、电流控制、功率控制等环节组成。其中外环采用一种基于模糊PI 的功率环控制策略,以实现对三相并网逆变器的功率控制;内环采用一种重复PR 控制策略,以提高重复控制的动态性能和稳定性,实现对三相并网逆变器的电流控制。其中, p* 为有功功率参考值,由输入基准电压uref 与PI 控制的输出乘积得到;无功功率参考值q* 设为零;上标*表示参考值。

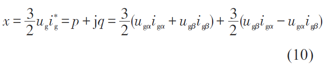
根据瞬时功率理论,可得到逆变器网侧的复功率:

式中, ig 为电流矢量; ugα、ugβ 为αβ 坐标系下电压分量; igα、igβ 为αβ 坐标系下电流分量。
功率控制器设计
光伏系统输出功率是一个持续变化的量,当光照资源、外界温度、灰尘遮挡等外界条件变化时,输出功率也在持续变化,而传统的PI 控制方法并不能达到理想的控制效果。本文的功率控制器采用了一种基于模糊PI 的控制方法,运用Mamdani 模糊推理机制在线对PI 控制器参数进行整定和优化。图3 为模糊PI 控制系统结构图。图中, Δp/Δq 为输入参考有功和无功误差指令; ku 为比例因子; ke、ke′ 为量化因子; i*αβ 为αβ 坐标下的系统并网电流参考值; e、e′ 分别为瞬时功率误差和误差变化率,本控制器将其量化在[-6,6]区间。

模糊PI 控制器首先会得到kp、ki 与e、e′之间的模糊关系, kp、ki 为PI 控制器参数,本控制器将其量化在[-3,3]区间;同时,在推理过程中会不断检测e 和e′,最后控制器依据推理规则对PID参数进行实时整定, 以满足变量e、e′ 对控制参数的不同要求,从而使功率控制器具有良好的动、静态性能。
电流控制器设计
** 重复PR 控制系统模型**
文献[11, 12]分别提出了逆变电源比例谐振控制方法和重复控制方法,但PR 控制对非线性负载中的高次谐波抑制能力差,而重复控制虽然其鲁棒性较好,但缺点是动态性能较差。为解决以上问题,本文设计了一种基于比例谐振的重复控制系统,以改善控制器的性能。图4 为重复PR控制系统结构图, z-N 为周期延时信号; Q(z) 为辅助补偿值; Kr 为重复控制增益; S(z) 为受控对象补偿值; d(z) 为非线性扰动量; P(z) 为逆变器等效数学模型。

由图4 可得出控制系统传递函数E(z) 为:

式中, G 为开环时逆变器传输函数;下标RC 表示谐振控制器; R(z) 为z 传递矩阵谐振控制器传输函数。
再令误差传递函数为:

继而可得到特征多项式y :

由式(13)可知,当特征多项式的两个特征根在单位圆内时,即可以保持控制系统的稳定性。
** 重复PR 控制器设计**
由以上分析可知,当控制器参数在单独的PR系统稳定范围内选择时,控制系统才会达到稳定。因此,对PR 控制器的两个参数需进行单独设计。kp 为比例增益, kp 的取值会影响控制系统的抗干扰能力和稳态性能,因此取值需要适中,不能过大也不能太小。取值太小会使系统中电流谐波分量变大,降低系统的抗干扰能力;而取值太大会降低系统的幅值裕度。文献[13]中对该问题进行了建模和仿真分析,当kp =0.07 时,控制系统可得到很好的控制效果。
ki 为积分增益,对控制的增益有影响。ki 值较大时,控制器的静态误差会较快衰减,但会影响系统的相位裕度,使其变小;当ki 值较小时,会难以消除系统的静态误差,从而影响系统的控制精度。
本文对ki 分别为50、80、100、120 时的控制系统进行了仿真分析( kp 值固定),图5 为被控对象PR 控制波德图。

由图5 可知,当ki 为50 和120 时,相位裕度均难以满足系统稳定性的要求。而当ki =80时,系统相位裕度较好,可获得较好的控制效果。

重复PR 控制的控制对象等效为:

图6 为重复PR 控制中重复控制等效对象波德图。由图6 可知,等效控制对象中低频段的增益基本为零,但在角频率w=9260 rad/s 处,出现了高频谐振,谐振峰值为31.2 dB,这是由于逆变器中LCL 滤波器的谐振问题所致。因此,如果对控制器不采取抑制措施,会使谐振频率幅值变大,从而使输出电压发生波形畸变。此外,系统在高频段处,系统谐波的衰减能力也非常有限,对谐波的抑制能力也会变差。

图7 为经过重复PR 控制器调节后的等效对象波德图。由图7 可知,经过重复PR 控制器的调节,消除了图6 中的高频谐振,同时,等效控制对象中低频增益变为1。而且,等效控制对象中的高频段得到了迅速衰减,从而使控制系统具有良好的抗扰动能力,系统稳定性变好。
3
系统仿真分析
为验证本文所提出的电流内环和功率外环控制策略的有效性,按照图2 的拓扑结构在Matlab/Simulink 仿真环境中搭建了LCL 型光伏逆变系统的仿真模型,并采用以上控制策略进行控制。控制系统参数为:并网逆变器额定功率为2kW, fk =12.5 kHz,开关频率fs =20 kHz, Cdc =2000 μF, L1 =8 mH, L2 =2 mH, Cf =10 μF,等效
电阻为0.8 Ω。
图8 为采用本文设计的控制策略时,并网逆变系统有功功率和无功功率的仿真波形。由图8可知,当控制系统功率环采用模糊PI 控制系统时,系统有功功率可在很短时间内达到给定值,调整过程非常迅速,当系统达到稳定后,有功功率波动非常小,而无功功率也基本保持在零。

图9 为三相并网电流波形,仿真时间为0.2 s。由图9 可知,并网电流可在一个周期内迅速达到稳定,动态响应速度很快,且正弦度较好。

图10 为并网电流谐波频谱分布图。由图10可知,并网电流频谱分布集中,通过对电流的谐波分析,电流的THD=1.98%,满足并网要求。

图11 为系统满载运行时,A 相并网电流与电网电压关系图(其中,电流放大30 倍)。由图11 可知,并网电流与相应的电网电压同频、同相位,实现了光伏逆变器单位功率因数并网运行。

4
结论
本文通过对三相LCL 型并网逆变器的拓扑分析,设计了一种内环采用电流控制、外环采用功率控制的准DPC 方法,兼顾了DPC 和电流控制的优点,实现了对有功和无功的良好控制;并在Matlab/Simulink 中搭建控制系统仿真模型,结果表明,该种控制策略是可行的。
从profibusDP转ModbusTCP,一网打尽转换技巧!