时间:2023-07-12 16:13
人气:
作者:admin

(1)直流特性

(2)噪声特性
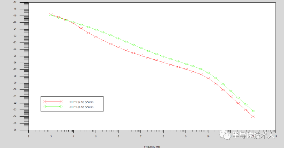
总噪声:

产生复合噪声:

电子、空穴扩散噪声:

电子、空穴闪烁噪声:

############################################
功率二极管结构参数:
根据实际电参数指标要求,在25℃室温情况下,当测试电流IR=5μA时,器件反向重复峰值电压(VRRM)需高于1200V。
为保证器件结构设计的可靠
性,对击穿电压指标考虑10%的裕量,即击穿电压设计目标值为1320V。图2为仿真得到的N型单晶硅电阻率对器件击穿电压的影响,在仿真过程中,衬底少子寿命为10μs,高阻N型区厚度为180μm,P+区表面浓度为5E19cm-3,结深为10.5μm。
当N型单晶硅电阻率大于45Ω.cm时,器件击穿电压约为1400V,满足设计要求。图3为仿真得到的高阻N型单晶硅厚度对器件击穿电压的影响。
在仿真过程中,衬底少子寿命为10μs,原始单晶硅电阻率为45Ω.cm,P+区表面浓度为5E19cm-3,结深为10.5μm。
当高阻N型单晶硅厚度≥90μm时,器件击穿电压约为1350V,满足设计要求。器件基本结构参数选择为:原始N型单晶硅片晶向为<111>,少子寿命为10μs,单晶硅电阻率为45Ω.cm。利用三重扩散工艺制备得到N+/N结构,N+衬底砷杂质扩散深度为160μm,砷表面浓度为5E19cm-3;高阻N型区厚度为100μm;阳极区硼扩散表面浓度为5E19cm-3,硼扩散结深为变量,变化范围为1.5~13.5μm。
从profibusDP转ModbusTCP,一网打尽转换技巧!