时间:2023-07-13 11:07
人气:
作者:admin
1
逆变电路闭环控制
逆变器的控制方法有:PID控制、滞环控制、无差拍控制、重复控制、比例谐振控制、智能控制。各种控制方式都有自身的优缺点。
传统PID控制器无法实现对正弦量的无静差调节,比例谐振控制器可以实现对正弦量的无静差调节,本篇采用基于电流前馈双闭环PI控制器实现逆变电路的闭环控制,如果有时间后面会分享负载电流前馈电感电流内环PI电压外环PR控制器或电流前馈双准PR谐振控制的逆变电路,如果有兴趣可以自己研究。
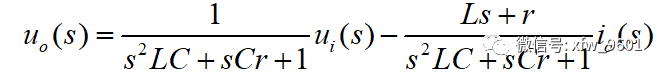
单相逆变器简化模型如图1所示。

图1 逆变器简化模型
传递函数如下

逆变器LC滤波器结构如图2所示。

图2 逆变器LC滤波器结构
电流前馈双闭环结构如图3所示。

图3 电流前馈双闭环PI控制
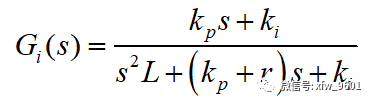
电感电流内环PI控制器
闭环传递函数

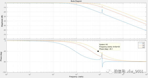
bode图如图4所示

图4 电流环PI闭环控制bode图
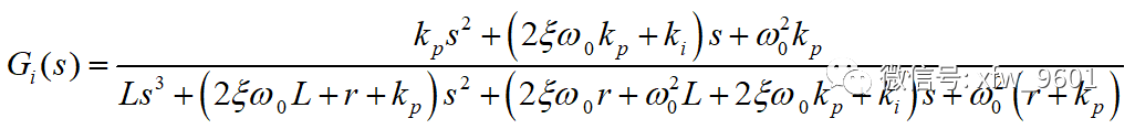
电流内环PR控制器
闭环传递函数

bode图如图5所示

图5 电流环PI闭环控制bode图
详细过程不在赘述。
2
基于电流前馈双闭环PI控制模型
后级H桥驱动载波频率为30kHz,各MOS管的驱动时序如下图6所示。


图6 单极性等效双极性
电流前馈双闭环PI控制器建模如图7所示。

图7 电流前馈双闭环PI控制器

图8 各节点电压波形
PI参数没有还需继续优化设计,由于该版本是实验模型,实际PI参数需要结合实际调试结果分析确定。这里不再进一步修改,读者可以自行设计其他方式控制模型。
功率电路各节点电压电流波形如图9所示。

图9 功率电路各节点波形
到此逆变电路仿真模型搭建全部完结。感谢各位读者支持。
3
结论
仿真结论:
上述基于电流前馈双闭环PI控制器控制方法简便,如有兴趣可以探索准谐振PR控制实现逆变器正弦波无静差调节。
下一篇:500W储能逆变电源设计
从profibusDP转ModbusTCP,一网打尽转换技巧!