时间:2023-07-05 15:41
人气:
作者:admin
说到射频PA(Power Amplifier,功率放大器)的设计和应用,有两个名词经常被大家提及:Load-line与Load-pull。在使用中,这两个名词太过常用了,以至于对这两个名词后面的理论依据反而讨论不多。接下来我们就对Load-line和Load-pull背后的知识做一个讨论。
Load-line中文名称为负载线,是PA设计中最为重要的设计参考。
对于PA来说,最重要的目的是进行功率有效的放大与输出,一切的设计理念均是为此服务。此时,以最大功率“传输”为首要目标的共轭传输无法完成最大功率“输出”的目的:PA需要实现的是将射频功率最大程度的从直流功率中榨取出来,而不是将已经产生的信号传输出去。 实现射频功率最大化输出用到的就是“最佳负载匹配”,而不是用来最大化传输已有功率的“共轭匹配” 。
为了直观分析PA在不同负载下的功率输出,在PA设计中就引入了“负载线(Load-line)”的概念,用以观测PA在不同负载下的射频电压与电流摆幅,从而得出不同负载下的功率输出,找到最佳负载。
PA工作是基于晶体管的特性工作的,所以在讨论PA的Load-line之前,首先对晶体管特性做一个分析。
PA可以采用HBT、MOSFET、pHEMT等多种半导体工艺进行设计,不同工艺设计在PA的Load-line理论中分析方法基本相同。以下将以射频PA中最为常用的HBT(Hetero-Junction Bipolar Transistor, 异质结双极型晶体管)器件为例进行分析。
HBT是一种特殊的BJT(Bipolar Junction Transistor,双极型晶体管),由两个背靠背连接的PN结构成。下图为HBT器件与其所设计的放大器的基本结构。

图:HBT器件及共发射极放大器基本结构
对于HBT器件来说,由于Base的小电压(或电流)可以对Collector的大电流进行控制,所以一个小的Base输出信号,就可以经由HBT器件在Collector产生大的输出信号,这就是HBT作为放大器的基本原理。
理想情况下,HBT器件在工作中有以下几个特点:
简单起见,为了理解这种控制关系,可以把HBT器件理解为一个水龙头,Collector是水龙头的输入,Emitter是水龙头的输出,而Base是水龙头的控制:
将HBT器件在不同的VCE电压及不同的IB控制下的ICE在直角坐标系中描绘出来,就得到HBT器件的DC-IV曲线(直流DC状态下的电流电压曲线),DC-IV 曲线是半导体器件中的重要特性曲线 。

图:将HBT器件理解为“水龙头”;HBT器件的DC-IV曲线
实际放大器在工作中,需要驱动负载阻抗。放大器对负载阻抗的驱动作用以及其小信号电路等效如下图所示。在小信号等效电路中,HBT可以等效为电流控制电流源。

图:带有负载的放大器基本电路及其小信号等效模型
考虑负载
后,在满足欧姆定律的条件下,
点电压与电流的相互转换以电阻
为斜率进行相互转换。将这种转换关系对应到前节所述DC-IV曲线上,就得到一根斜率为
的直线,这根线****就 称之为此时放大器的Load-line 。Load-line的斜率与负载呈反比,中文称为负载线。

图:输出电压与电流摆幅关系及Load-line
Load-line之所以重要,是因为其直接决定了放大器最大输出功率。
为了分析Load-line与输出功率的定性关系,在手算直观分析中,一般以A类放大器进行简化分析。B类、AB类等放大器结论相同,不过分析过程更为复杂,若考虑到谐波阻抗、负载阻抗虚部影响,就需要借助仿真软件仔细分析。
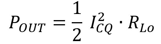
对于匹配到最佳负载的功率放大器来说,最大输出功率时其电压与电流摆幅均达到最大,交流峰值分别等于为
,此时放大器的输出功率
可以有多种表达方式,如:

此时:

并有关系:

由于在此负载线下,放大器有最大的输出功率,所以此负载线又叫放大器的最佳负载线:
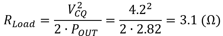
。对于某5G PA,以
电压为例,若目标输出功率为34.5dBm (2.82W),则此时的最佳值Load-line在:

当
远离
时,需要分两种情况进行讨论,分别为
>
(高Load-line)及
<
(低Load-line)。
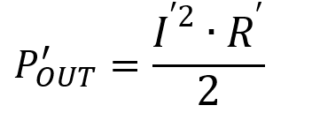
**当 **
>
时,将此时负载线记为
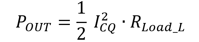
。当电压达到满摆幅时,电流并没有达到满摆幅。此时输出功率受限在电压摆幅上,所以输出功率只能以电压摆幅计算,即:


图:
>
时的负载线
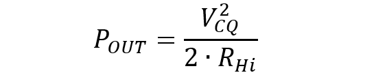
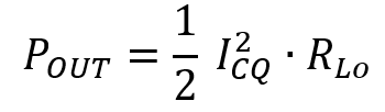
当 
<
时,将此时负载线记为
。当电流达到满摆幅时,电压并没有达到满摆幅。此时输出功率受限在电流摆幅上,所以输出功率只能以电流摆幅计算,即:


图:
<
时的负载线
通过以上分析,可以得到某5G射频PA的最佳负载阻抗约在3.1Ω左右,在设计中,需要设计匹配网络将50Ω负载匹配至该目标负载阻抗。输出匹配网络在放大器中的位置与基本结构如下图所示:

图:5G PA的输出匹配网络
输出匹配网络将较高的50Ω阻抗匹配至较低的负载阻抗3.1Ω,可以证明,一个匹配网络的损耗和转换网络的Q值(
)成正比,和器件的Q值(主要为电感Q值
,以25作为估计)成反比,即:

若采用单级L-C匹配网络,则50Ω到3.1Ω的损耗为15.6%,即0.74dB。
在转换比过大时,可采用多级匹配的方式减小损耗。比如采用两级匹配的方式进行匹配,若将50Ω先匹配至12Ω,再匹配至3.1 Ω,则两级匹配网络的损耗分别为7.1%及6.8%,整体损耗为13.4%,约0.63dB。
由于输出功率是由
与
两个参数共同决定,所以在设计时可以采用高
与高
的方式(即高Load-line),也可以采用低
与低
的方式(即低Load-line)进行设计。
采用低压(配合低Load-line)方式设计的PA优势显而易见:更低工作电压使得供电只需要Buck电路, 不用 Boost,这样供电电路会简单并且电源转换效率更好。 虽然对于同样的输出功率来说,电压降低后电流会升高,但二者乘积相同,总功耗相同。
低压PA虽然优势明显,但对设计的挑战增大。低压PA所使用的Load-line较低,匹配网络进行转换时匹配网络的Q值变大,损耗增加。下表列出了采用4.2V设计时Load-line为3.1Ω,以此为标准,输出功率相同时,3.4V低压PA的Load-line为2.0Ω,损耗增加0.08dB,此额外损耗需要在设计中予以克服。对此损耗的克服一般通过优化PA设计可以实现。
随着电压再降低,输出匹配网络损耗快速增加,所以Load-line不能一直降低。另外,低压使用时,器件本身所占用的膝电压(
,Knee Voltage)占的比重开始增加,进一步限制电压摆幅,影响输出功率。

图表:同输出功率,不同电压及Load-line下,
所对应的匹配网络损耗
6. 实际应用中的Load-line
虽然Load-line理论可以对PA特性进行简单清晰的分析,但在实际使用中,由于阻抗并非只有实部,并且加入导通角、匹配网络以及谐波影响后会变的非常复杂。Load-line理论对于清晰理解PA的设计思路很重要,但在实际设计与应用中显得心余力绌。
于是,Load-pull的概念被引入了进来。
说起Load-pull,射频人都不会陌生:在每本教科书里都会提到;Load-pull在Smith圆图上的等高线(Contour)也是PA设计和应用中的必备材料。下图为典型的Load-pull在Smith圆图上的结果呈现。

图:典型的Load-pull结果在Smith圆图上的呈现
相比于“Load-pull”名字的熟悉,大家对它背后的理论谈论较少。Load-pull的测试过程也像是“暴力破解”,好像没什么理论可依。
不过实际并非如此,Load-pull背后有详细的理论分析,PA届的大神Cripps于1983年发表的IEEE MTT-S的论文“A theory for the prediction of GaAs FET Load-pull Power Contours”[2]就曾用纯理论的方式对PA的Load-pull进行预测。通过测试验证,Cripps的理论预测完美的匹配了测试结果。

图:Cripps在1983年对PA Load-pull进行的理论预测及验证
接下来,就让我们沿着Cripps的思路,仔细理解Load-pull。
Load-pull的中文名翻译为“负载牵引”,是指将被测器件(DUT,Device under Test)的负载阻抗进行遍历,同时测试记录不同负载阻抗时的器件特性,从而得到最优阻抗的方法。
在CAD仿真软件中,Load-pull结果的获取较为容易,只需要将DUT的负载进行扫描,就可以绘制出多种多样的Load-pull图形,通常几秒中,就可以将Load-pull结果扫描出来。下图为使用ADS软件进行Load-pull仿真以及得到的结果 [3]。

图:采用ADS软件仿真得到的Load-pull结果
在实际测试中,想要精准的遍历各个阻抗就不如仿真中容易了,需要借助Tuner(阻抗调谐器)来实现负载阻抗的控制,Tuner也是整个Load-pull系统中最为重要的组成部分。Tuner可以理解为阻抗调谐匹配单元,可以将固定的负载阻抗有控制的匹配至Smith圆图上的其他位置。Load-pull测试系统的原理图及实际测试系统如下图所示[4][5]。

图:Load-pull测试系统原理图 [4]
通过对PA的仿真或测试,可以得到不同负载下PA不同输出功率的等高线图。为何PA输出功率会呈等高线形状,另外等高线形状是圆形吗?等高线一定是闭合的吗?接下来将进行详细讨论。
通过Load-line理论,可以得到PA负载在最佳负载线(
,以下以
表示)时有最大的输出功率。将此时的
表示在Smith圆图上,就得到Load-pull的中心点。
同理,对于高Load-line时的负载
及低Load-line时的
,同样可以在Smith圆图上标注出来。
及
处分别电压及电流受限,功率均小于
处功率。

图:Load-line的负载与Load-pull的阻抗标注
在高Load-line区,Load-line阻抗大于最优负载阻抗,Smith圆图表示为在
的右侧。此时电压摆幅受限,输出功率以最大电压摆幅计算,为:

由于电压固定,当输出带有虚部时,采用并联等效电路进行功率计算更为方便,将此时负载电路等效如下:

图:用于电压驱动时的负载并联电路等效
此时,
的最大值保持恒定,峰值为
。若电导
也保持一致,则输出功率恒定为:

即在高Load-line区,在等电导圆上输出功率恒定一致 **。**此时电压电流波形及在Smith圆图上的阻抗位置如下图所示。

图:高Load-line区域时,虚部增加对电压电流波形的影响
需要注意的是,当负载阻抗在远离
向短路点移动时,虽然电压摆幅保持一致,但电流摆幅会逐步增加。若电流摆幅增加至
,则电流开始受限,不能再使用前述电压与
的方式计算功率,即功率无法保持恒定。有关电流达到受限的阻抗点后续将详细讨论。
在此讨论另外一个现象:当负载阻抗沿等
圆移动时,可以看到电流摆幅明显增加。为何电流摆幅增加不会带来功率的增加呢?欢迎大家留言,讨论对此现象的理解。
在低Load-line区,Load-line阻抗小于最优负载阻抗,Smith圆图表示为在
的左侧。此时电流摆幅受限,输出功率以最大电流摆幅计算,为:

当输出带有虚部时,由于电流受限,采用串联等效电路进行功率计算更为方便,将此时负载电路等效如下:

图:用于电流驱动时的负载串联电路等效
此时,
的最大值保持恒定,峰值为
。若电阻
也保持一致,则输出功率恒定为:

即 在低Load-line区,在等电阻圆上输出功率恒定一致 。此时电压电流波形及在Smith圆图上的阻抗位置如下图所示。

图:低Load-line区域时,虚部增加对电压电流波形的影响
与高Load-line区域分析类似,在此时同样要注意,随着负载阻抗远离
向开路点移动时,电压摆幅也会逐步增加,直至电压受限。也同样可以讨论:为何电压摆幅的增加,没有带来功率的增加?
在以上分析中,高Load-line区域电压受限,但当负载沿等
圆移动时,电流摆幅增加,直至受限;低Load-line区域电流受限,但当负载沿等
圆移动时,电压摆幅增加,直至受限。这个受限点在哪里呢?
对于高Load-line区域,设
,则在等
圆上,输出功率以
表示,为:

此时,输出功率为最大输出功率的1 /A 。
在低Load-line区域,若得到与此相同的输出功率,根据
可得低Load-line区域的阻抗点阻抗
。
计算高Load-line区域沿等
圆变化时电流随阻抗实部的变化。此圆上的电流及阻抗实部分别以
及
表示,以电流及阻抗的方式计算等
圆上的输出功率为:

令其与电压、导纳计算方式得到的功率相同,则:

即:

当电流摆幅达到最大,即
时:

即:在当等
圆与等
圆相交时,电流取到最大值,电流与电压同时受限。此时用Smith圆图表示的Load-pull曲线闭合,等功率圆呈现橄榄球形状的闭合曲线 。
当Smith圆图上的阻抗远离
时,输出功率变小。所以,Smith圆图上的等功率圆呈现出一组闭合的等高线。

图:Load-pull曲线的闭合,以及Load-pull的等高线结果
在实际应用中,观测到的Load-pull曲线和理论分析曲线可能存在差异,有以下几点需要注意:
以上分析均是以PA晶体管输出平面计算,由于匹配网络及寄生效应的影响,在芯片输出端口观测到的Load-pull可能会有不同。以下为不同平面看到的不同Load-pull示意图。

图:PA电路中不同平面观测到的Load-pull形状不同
以上分析中均为简化分析,只考虑基波(Fundamental)阻抗的影响,在PA设计中,其他高次谐波,如2f0、3f0等阻抗均会对PA功率、效率以及线性度产生影响。考虑谐波影响,Load-pull形状会有差异。
以上分析针对PA中最为重要的指标:功率的Load-pull进行分析,PA的其他指标如线性度等,采用带有带宽的调制信号进行测试,其Load-pull形状大致相同。一般不会再针对其他指标进行详细分析。
Load-line与Load-pull是PA设计中最重要的两个基础概念,在过去几十年的射频PA设计中,前人专家也积累了许多经典的分析方法。
虽然5G等高阶通信协议的到来对射频PA提出了新的要求,近年来也涌现出如低压PA、高效率PA、高/低Load-line PA等不同PA产品,但射频PA的一些基础原理仍然是在PA设计中被广泛遵循的,期待和您一起对这些基础原理有更好的理解。
上一篇:STA分析—时序检查
下一篇:聊聊你知道的串口
从profibusDP转ModbusTCP,一网打尽转换技巧!