时间:2022-05-13 17:52
人气:
作者:admin
USB-C 连接器是统治它们的唯一连接器。它的定义具有极好的灵活性,并已在不同的互连中广泛采用。在尝试重新定时通过其运行的信号时,这种使用的灵活性和多样性也是许多困难的根源,特别是在有源电缆中。重定时器的这些困难的一个关键来源是 USB-C 支持的所有选项和模式之间的许多交互。
USB-C 通过一系列替代或“Alt”模式支持 USB、Thunderbolt、DisplayPort、HDMI 和 MHL 以及其他新兴协议。每个都有自己的协议和物理层,必须由重定时器单独处理。它们是由不同的群体在不同的时间和不同的目的定义的。协议层彼此不同。物理层也以不同的方式定义,具有不同的速率和显着的向后兼容性模式和约束。它们可以组合在一起并在一个连接器定义上运行,这是一项巧妙的工程壮举。

图 1:定义了多个协议以使用 Alt 模式在 USB-C 连接器上运行。
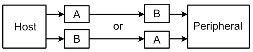
USB-C 还支持可逆性,其中连接器可以在二维中任意对齐插入。第一个对齐维度是电缆的每一端都可以连接到主机端或外围端,并且在插入之前不知道对齐情况。USB-C 对这两者有完全对称的插头和插座定义角色,是对 USB-A 连接器的重大改进。各种协议都有主机驱动的配置周期,因此区分命令来自哪一侧对于重定时器必须参与这些周期的有源电缆很重要。这意味着重定时器必须足够灵活,以接受、处理和传播来自和传播到任一方向的开销数据包。

图 2:USB-C 有源电缆必须处理任一方向的配置流程。
第二个对齐维度是电缆的每一端都可以插入,插头的任一侧在顶部。为了让用户不必摸索插头的方向,USB-C 被定义为允许插头在两端向上插入。这又是对 USB-A 连接器的重大改进,它通过将每个方向上的两对中的每一对定义为在连接器的相对角中固定来实现。包括电源、接地和边带信号在内的所有其他连接也以对称方式定义。在某些应用场景中,反转控制很重要,因此能够在内部翻转导线之间的连接是全功能 USB-C 重定时器的要求。

图 3:USB-C 的线-线连接可以翻转,具体取决于它的插入方式。
USB-C 重定时器还必须与供电 (PD) 控制器交互。USB-C 允许生产者和消费者就通过链路传输的电力进行协商。因此,USB-C 重定时器需要支持 PD 控制器的两线接口 (TWI)。
USB-C 重定时器必须支持一种以上的时钟模式。模式是位级重定时 (BLR) 和具有独立 SSC (SRIS) 的独立参考时钟。
USB-C 还允许某些多功能模式。一个例子是,一个高速通道是 USB 3.2,另一个通道是 DisplayPort。重定时器无法提前确定所需的配置。相反,它是在与外围设备协商后由主机根据需要声明的。
由于 20 Gbps SerDes 速率,USB4 是需要重定时器而不是重驱动器来完成工作的一代。模拟转接驱动器的三个主要缺点是:
转接驱动器会放大信号及其内部接收器噪声。
转接驱动器仅部分清除符号间干扰 (ISI)。
转接驱动器不会恢复眼宽并允许传播抖动。
结果,无法利用转接驱动器之前和之后的链路的全部范围。每个位置都必须采用较短的走线长度,以最大限度地减少增加的噪声、残余 ISI、抖动和窄眼宽的影响。由于这些问题,系统开发人员在理解和描述转接驱动器对所有设想使用场景的终端系统的复杂影响方面承担了很大的责任。当数据路径中使用多个重定时器时,这些问题会成倍增加。

图 4:重定时器完全恢复信号。重新驱动程序没有。
USB4 也是需要在物理上靠近每个端口的重定时器的一代,除了最小的外形尺寸。这是因为要使 USB4 端口达到其全部范围,损耗预算不能用完从微处理器到 USB-C 连接器的印刷电路板 (PCB)。在大多数早期版本中,PCB 上的损耗可以被吸收到损耗预算中。在 USB4 的大多数主机场景中,都需要重定时器,尤其是当系统不想使用最昂贵的 PCB 材料类型时。当然,如果可以将连接器直接放在微处理器旁边,则可能不需要重定时器。

图 5:USB4 是需要在连接器附近使用重定时器的一代。
在某些应用中,微处理器只有一个通用 SerDes,不支持 USB4 和其他协议的全部要求。在其中一些情况下,需要紧邻主机的第二个重定时器。
此外,USB4也是有源线缆将走在前列的一代。到目前为止,USB 大部分都可以通过无源电缆来解决。虽然无源电缆仍然是 USB4 在最短距离内的一种选择,但在许多情况下都需要有源电缆。由于重定时器所需的功耗增加,这一事实将影响 USB4 在某些应用中的实用性。
一些协议已经为主机定义了进入一系列重定时器中的每一个并调整每个重定时器的均衡器参数的方法。这些协议中有多种模式定义对称和非对称方法。USB-C 重定时器必须参与所有这些协议。

图 6:重定时器序列将在 USB4 中变得普遍。
由于 USB4 周围具有挑战性的信号完整性环境,重定时器可能支持眼图功能,例如眼图高度和眼图宽度测量。还需要能够生成和检查 PRBS 模式的误码测量。
好像 USB4 还不足以自行重定时,必须支持这些附加功能。所有这些因素的结合使 USB4 over USB-C 的多协议重定时器成为有史以来最复杂的重定时器。一些可用的重定时器解决方案支持 USB4、DisplayPort 和 Thunderbolt 协议,允许方向反转,支持连接器翻转和外部 PD 控制器,并提供广泛的测试和测量功能。Kandou 提供了一种这样的解决方案。
重定时器对于互连设计来说从未像现在这样重要,并且对于 USB4 和为 USB-C 定义的其他高速协议的成功运行至关重要。
Brian Holden是 Kandou 的标准副总裁。此前,他曾担任光互联网络论坛 (OIF) 市场意识和教育委员会主席、Hypertransport Consortium 主席和研究员、PMC-Sierra 标准总监以及 StrataCom 经理和联合创始人。 Brian 在 GTE 开始了他的职业生涯。他获得了加州大学戴维斯分校的电气工程理学学士学位和康奈尔大学的 MBA 学位。他拥有49项美国专利。
从profibusDP转ModbusTCP,一网打尽转换技巧!