时间:2019-09-05 14:47
人气:
作者:admin
1 引言
半导体照明作为21 世纪的新型光源,具有节能、环保、寿命长、易维护等优点。用大功率高亮度发光二极管(LED)取代白炽灯、荧光灯等传统照明光源已是大势所趋。由于LED 自身特性,必须采用恒流源为其供电。因此,高效率恒流驱动电源的设计成为LED应用中一个重要研究对象。LLC半桥谐振变换器以其高效率、高功率密度等优点成为现今倍受青睐的热门拓扑, 但一般用于恒压输出场合,传统LLC 被认为不适合应用于宽范围恒流输出。此处提出一种半桥LLC 新的设计方法,使其在宽范围恒流输出场合依然保持高效率。
因此,LLC可作为LED驱动的很好的拓扑选择。
2 恒流LLC谐振变流器的设计方法
2.1 半桥LLC变换电路概述
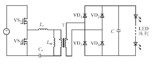
半桥LLC谐振变流器电路原理如图1 所示。
两个占空比为0.5 互补驱动的开关管VS1,VS2 构成半桥结构,谐振电感Lr、谐振电容Cr 和变压器的励磁电感Lm 构成LLC 谐振网络,变压器次级由整流二极管VD1~VD4 构成全桥整流电路。

图1 半桥LLC 谐振变流器电路拓扑
半桥LLC 变流器有两个谐振频率。当变压器初级电压被输出电压箝位时,Lm 不参加谐振,Lr和Cr 产生的串联谐振频率为f1;当变压器不向次级传递能量时,Lm 电压不被箝位,Lm,Lr,Cr 共同参与谐振,构成谐振频率f2 为:

2.2 直流增益曲线及工作区间
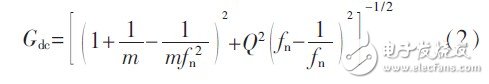
采用基波近似方法, 可推导出LLC 谐振变流器的直流电压增益表达式为:

式中:m=Lm/Lr;fn =fs/f1,fs 为开关频率;Ro 为等效输出电阻。

图2 示出半桥LLC 变流器在不同负载情况下的直流增益曲线。LLC 工作在f1(即图中(1,1)点)时,谐振回路阻抗最小,损耗最低。所以在普通设计中,一般将满载工作点设计在该点。

图2 半桥LLC 的直流增益曲线
在图2 所示3 区间中, 开关管工作在容性区域,开关损耗大,所以在任何设计中都应该避免电路工作在此区域。而2 区间中,LLC 工作在谐振电流断续模式,可同时实现初级开关管ZVS 开通和次级整流管ZCS 关断,避免反向恢复,所以恒压输出的设计中, 一般将所有负载情况下的工作点设计在该区间中。但是在恒流宽电压范围输出设计中,负载变化大,对应的直流增益变化范围大, 很难保证全负载范围内所有的工作点均在ZVS 区域。并且电路工作在最大增益点和(1,1)点之间的曲线上, 这段曲线增益越小, 越接近谐振点。故仅能将满载工作点设计在直流增益高,即fs
在图2 所示1 区间中,fs>f1,LLC 工作在谐振电流连续模式,初级开关管可实现ZVS 开通,次级整流管不能实现ZCS 关断,会有反向恢复过程,但在输出电流小的情况下影响不大。这一区间增益曲线斜率较大,直流增益可调的范围广,可满足恒流宽电压范围输出设计的要求。
2.3 恒流宽电压范围输出设计
半桥LLC 的直流增益为:

式中:n 为实际变压器绕组匝比;Uin,Uo分别为输入、输出电压。
可见,为得到最佳设计点(即谐振点),仅需取期望的变压器绕组匝比Nnor=Uin /(2Uo)。
由图2 可见,曲线增益越小,斜率越大。若满载的工作点设计在谐振点,输出电压降至一半(即Gdc 降至0.5)时的工作频率将达到2 倍谐振频率以上, 工作频率范围很广。为使工作频率范围变窄,可选择增益曲线斜率大的一段,即Gdc<1.由式(3)及Nnor 计算式可知,若n

图3 恒流LLC 的工作点
图3 中,虚线为Uo 在200~100 V 变化时对应的Gdc, 实线为Uo 为200~100 V 时等效负载的增益曲线,Uo 相同时对应的实线和虚线的交点即为电路实际的工作点。在此设计中,Uo 从200~100 V变化时,工作频率的范围为1.22f1~2.11f1.
3 参数分析与优化
3.1 f1 选择
考虑到磁元件的设计, 电路满载时的工作频率设计在100 kHz 左右较为理想。为保证半载工作效率,半载频率不能太高。所以应当选择增益曲线中斜率较大的一段,即Gdc<1.电路实际的工作频率始终大于f1,所以应选f1<100 kHz,设计在60~70 kHz 较为合理。
3.2 谐振参数Cr , Lr
当f1 一定时,Cr 越小,Lr 越大,Q 越大,增益曲线的斜率越大,故减小Cr 可使半载的工作频率显著降低。从提高半载效率的角度考虑,Cr 越小越好,但Cr 越小,其两端的电压峰值则越大,要降低Cr 的电压应力,Cr 应取越大越好。设计中应该折中考虑。Cr 确定后,根据f1 可计算出Lr 为:

3.3 n , Lm 的选择
为使开关频率的范围缩窄, 实际变压器绕组匝比应小于期望的变压器绕组匝比,n
从减小开关管导通损耗的角度考虑, 变压器Lm 的值越大,初级电流有效值越小,开关管的导通损耗也越小,故希望Lm 越大越好。但Lr 一定时,Lm 越大则m 越大,增益曲线的斜率变小。为保证所需的Uo 使变换器的工作频率范围变宽,会影响Uo 降到一半时的效率。所以,在保证一定的开关频率范围的前提下,Lm 越大越好。
上述所有参数的设计需要综合考虑多方面因素,根据设计目标进行合理的取舍,针对具体应用场合找到最佳设计参数。
4 实验结果
根据上述理论分析,设计了一台恒流宽范围输出LLC 变换器样机,并进行了效率优化。指标要求为:Uin=400 V,输出电流Io=0.7 A,Uo=200~100 V.
主开关管选用FDP12N50, 次级整流二极管选用SF1005G.Nnor 需按输出电压最大值设计:Nnor=Uin /(2Uomax)=1.
实际变压器初次级匝比n

图4 开关管ug,uds 及iLr 波形
测得样机的效率曲线如图5 所示。可见,fs 变化范围选择在80~150 kHz,f1 选在60 kHz 较为合理。样机效率较高,整机效率达到95.5%~97.2%.

图5 半桥LLC 的效率曲线
5 结论
介绍了恒流宽范围输出LLC 谐振变流器的设计方法,指出其与传统恒压LLC 设计上的不同考虑,分析了各设计参数的影响。对于宽范围输出的LLC,工作区间应设计在开关频率高于谐振频率,直流增益小于1 的区域。实验证明,在整个负载变化范围内效率均高于95.5%.该设计方法较适合于小电流输出场合,样机输出电流为0.7 A.若是大电流输出,工作在连续状态下的LLC 开关管导通损耗、二极管关断损耗影响明显,效率会下降。
来源;电子工程网
从profibusDP转ModbusTCP,一网打尽转换技巧!