时间:2023-02-03 09:09
人气:
作者:admin
PLC以通讯方式控制变频器正反转为例进行说明;在通讯参数都设置好之后,需要先断一下电,这样设置的参数才会生效,下面就是PLC要发送报文给变频器了。

通讯拓补参考
1、变频器报文格式(以控制变频器正转为例说明)

变频器报文格式
控制变频器正转,自然是PLC这边发送数据给变频器,由上图可知数据格式有三种,都是由ENQ+变频器站号+指令码+等待时间+数据+总和校验 组成,不同在于数据位的长度不一样。
控制代码:ENQ表示通讯请求,ASCII为H05
变频器站号:变频器通讯时设置的站号;
指令代码:指明程序要求(如监视,运行,)
数据:变频器的频率和参数等的写入,读取,不同的命令数据长度有所不同;
等待时间:变频器收到计算机的数据和传输应答数据之间的等待时间,收到1实际等于10ms;
总和校验:如下图所示

报文格式含义2
2、寻找控制正转时,报文每一部分对应的数据
ENQ对应ASCII为H05;站号我们设置的是01,对应ASCII就是H30 H31;指令代码,通过查手册可知是FA,转为ASCII为H46 H41,等待时间设置为1(H31),控制正转数据为02(H30 H32),和校验通过在以上的基础上计算可得7B(H37 H42)。
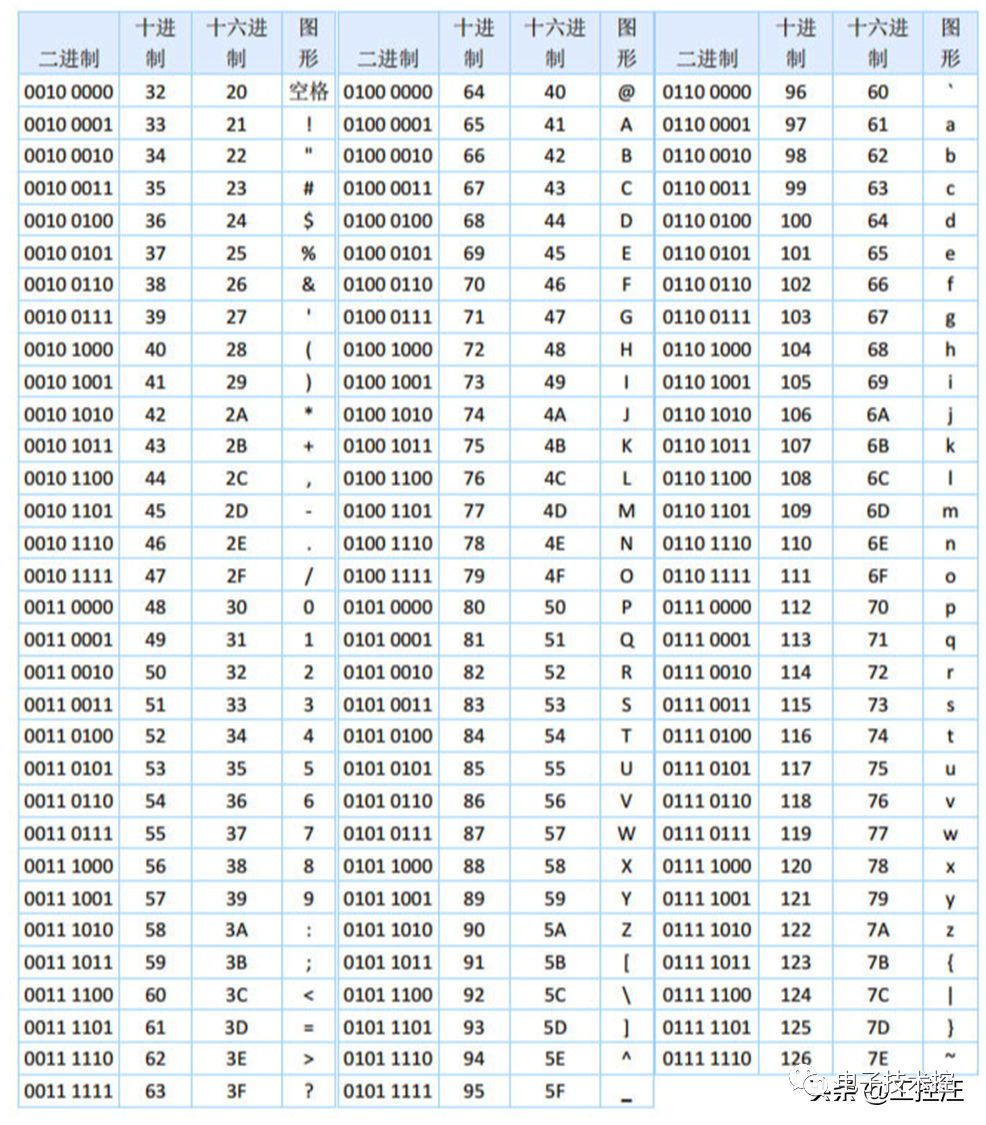
(数据是02,为什么要转为H30 H32,因为02是字符数据,而数据在传输时是以ASCII形式进行的);具体怎么转换,要参照ASCII表格。
这个是后一段完整地报文(H05 H30 H31 H46 H41 H31 30 H32),就可以直接发给变频器了
附录:ASCII对照表

审核编辑:汤梓红。