时间:2022-09-14 15:52
人气:
作者:admin
作者 | Paul Avery, Yaskawa
“掌握这50个与变频器设计、使用、实施和维护有关的术语定义,将使用户更容易正确地应用变频器。”
掌握变频器(VFD)的众多术语可能并不容易。本文总结了在很多变频器手册和技术文章中频繁出现,以及在实际应用中主要涉及的50 个定义。学习与变频器设计、使用、实施和维护有关的术语定义,将使用户更容易正确地应用变频器。
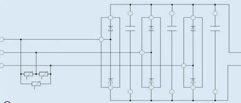
1. 整流器/ 转换器:变频器主电源电路的三个主要部分之一,是功率流的第一部分。输入的交流线路电压,在转换器部分被整流为直流电压,转换器部分由二极管、可控硅整流器(S C R)或以全波桥配置连接的绝缘栅双极晶体管(IGBT)组成。
2. 直流母线:变频器主电源电路的第二个主要部分,主要由电容器组成,这些电容器平滑的存储由转换器整流的功率。直流母线部分还可能包含一个预充电电路和一个链路扼流圈。
直流母线是变频器主电源电路的第二个主要部分,主要由电容器组成,这些电容器平滑地存储由转换器整流的功率。
3. 逆变器:变频器主电源电路的第三个主要部分。逆变器部分由I G B T 组成,I G B T使用脉冲直流母线电压或脉冲宽度调制,产生正弦输出电流。因为逆变器,是变频器和直流驱动器之间的主要区别,因此变频器本身有时也被称为逆变器。
4. 隔离栅双极晶体管(I G B T):电子驱动的高速半导体开关。通过在I G B T 的栅极和发射极点之间施加一个小的正电压,允许电流从集电极点流向发射极点。变频器中的IGBT 开关频率范围为2 至15 kHz。
5. 脉宽调制(PWM):一种变频器控制方案,其中恒定直流电压,被用于利用一组6 个功率开关(通常为I G B T),重建仿交流电压波形。改变固定幅值脉冲的宽度,可控制有效电压。这种脉宽调制方案之所以有效,是因为电机是一个大电感器,不允许电流像电压一样脉冲。正确排序后,PWM 以近乎完美的正弦波形输出电机电流。

▎整流器 / 转换器是变频器主功率电路的三个主要部分之一。
6. 载波频率:在基于PWM 的变频器中,输出晶体管关闭或开启的速率,通常为2 至15 k H z。数值越高,电流波形越好,但变频器损耗也越大。
在基于脉宽调制(PWM)的变频器中,载波频率是输出晶体管关闭或开启的速率,通常为2 至15 kHz。
7. 公共母线:连接单独变频器的直流母线段,或从公共直流电源运行多个独立逆变器段的方法。这种方法的优点是,可以使用电机运行顺序,来平衡电机和再生,因此只需要很少或不需要动态制动。
8. 动态制动:在变频器中,这是指通过晶体管将电阻器连接到直流母线。晶体管闭合,仅当直流母线电压超过设定水平时才将电源分流至电阻器,这通常发生在负载快速减载时。
9. 接地:接地是输入交流电源的参考点。如果电源导线意外接触地面,交流电源保护电路会立即将交流电源与接触点进行电气隔离。为了创建接地点,通常会将一根接地棒连接至大地,所有接地电路都连接到该接地点。当变频器机箱连接回该接地时,会创建一条安全的传导路径,以防导体意外短路到外壳的金属部分。

▎在基于脉宽调制(PWM)的变频器中,载波频率是输出晶体管关闭或开启的速率,通常为 2至 15 kHz。
10. k V A : 变频器的有效功率,基于其提供的输出电压和电流。(kVA=V×A× √ 3,用于三相输出。)将输出V A 乘以负载功率因数, 得出输出功率。在确定变频器使用的部件(如变压器和保险丝)规格时,了解额定输入的kVA 很有用。
11. k W / h p : 电机的功率测量值,其中k W = h p X0.746. 由于感应电机产生的无功电流分量,电机的功率容量不是V×A,而是hp。
12. 泄漏电流:电机电缆和接地导体之间以及电机定子和转子之间会产生寄生电容,P WM 脉冲与其相互作用产生的共模电压对时间(d v /d t)求导。以这种方式产生的泄漏电流会出现在接地电路上,并且可能会给连接到同一接地点的敏感设备带来问题。
13. 漏感:电机电感特性的一部分,与磁通或电压损失同义。电压损失源于电机导体上的电压下降,但不产生连接定子和转子的磁通。漏感的典型例子是定子绕组每一匝产生的磁通,该磁通发生在铁芯外部。这是由定子磁极产生的,而与转子无关。较高的工作电流和频率会放大漏感的影响。
▎线路电抗器是一种由绕在铁芯上的导体组成的装置 ;它可以减少变频器谐波。
14. 线路电抗器:由绕在铁芯上的导体组成的装置。当电流流过线圈时,铁芯中就会产生磁场。电流幅值或方向的任何变化,都与铁芯中现有的磁场相反,直至达到平衡。线路电抗器减少了变频器转换器导致的电流不连续性。减少这种不连续性或电流牵引失真,可以减少变频器产生的谐波电流。由于线路电抗器安装在变频器之前,因此它还可以通过降低与流经驱动器的电流成比例的电压,来帮助保护驱动器免受大多数电压瞬变的影响。电抗器和电感器这两个术语经常互换使用,指的是同一个设备,尽管电抗和电感不是可互换的术语。
15. 链路扼流圈:在变频器中,布置在直流母线电容器前的单个电抗器。链路扼流圈减少由变频器产生的谐波(由于其扭曲的输入电流牵引),其方式与线路电抗器相同,但对电压瞬变提供的保护较少。与线路电抗器不同,直流链路扼流圈没有电流依赖性压降。
16. 恒定扭矩和可变扭矩负载:
· 恒定扭矩:扭矩要求不会随速度的变化而变化,有时需要间歇性过载。
· 可变扭矩:扭矩要求随速度的变化而自然增加(如风扇或泵),且不需要间歇性过载。
▎链路扼流圈是一个单独的电抗器,布置在变频器直流母线电容器之前,可以减少变频器谐波。
17. 矩阵变换器:一种交流到交流(a c - t o - a c)变频器, 没有整流器/ 变换器或直流(d c) 总线来实现a c - d c - a c 转化,就像大多数商用驱动器一样。根据目标输出电压和频率,控制9 个双向开关。优点包括占地面积小的四象限运行、低输入电流谐波失真、低共模电压和共模电流。然而,矩阵驱动器的输出电压被限制在输入电压的90% 左右。
18. 电机极数:在感应电机中,定子用于在电机内部产生磁场,从而磁化其转子并导致轴旋转。线圈缠绕在对称的铁心上,依次排列在定子内径周围。当电流通过线圈时,就会产生电磁铁。在单相电机中,这些电磁铁中的每一个都与另一个相差180°且极性相反的电磁铁相匹配,从而产生磁场。在三相交流电动机中,三个这种电磁铁构成一个电动机极。电机的极数是确定电机每hp 扭矩和每Hz 转速的因素之一。
19. 预充电电路:当线路电源初次连接变频器时,直流母线电容器处于不带电状态,其表现很像短路。这种短路状态引起的大电流涌入,会损坏电容器和其它变频器主电路组件。当电容器开始充电时,预充电电路可以限制涌入的电流。一旦电容器充电到目标电压,接触器就会旁路预充电电路。

▎电机的极数是确定电机每 hp 扭矩和每 Hz 转速的因素之一。此图显示了一个 2 极的电机。
20. 反射波:所有基于P W M 的变频器,都会产生上升和下降时间很短的输出电压脉冲。这些高dv/dt 脉冲与电缆电感和电容相互作用,并在电机端子处产生输入电压脉冲的反射。如果电机和变频器之间的距离超过允许的距离,反射波会使电机端子处的电压峰值接近直流母线电压的两倍。这种高电压可能超过电机绝缘的额定电压。
21. 再生:只要转子的旋转速度超过定子磁场,电机就可以成为发电机,并将电力回送至主线。在这种情况下,负载被称为再生。每当变频器试图使电机减速时,或当负载检修电机时,都可能发生这种情况。在这种状态下,电机的反向电磁场大于施加的电压,这会导致母线电压升高,并可能导致变频器故障。为了避免再生过程中出现变频器故障,使用了某种形式的功耗,如动态制动或线路再生。
22. 饱和:在变频器中,饱和是指施加在电机上的电压,高于产生正弦磁场密度所需电压的一种状态。在饱和状态下增加电压,不会产生额外的机械扭矩,但会因电流增加而增加电机的发热。
23. 单相电源:典型的230-V A C 单相电气系统,使用两根火线和一根中性线来传输电源。这种系统主要用于不需要三相电力的应用,或三相电力传输成本过高的偏远地区。
24. 三相电源:主要用于商业和工业设施,三相电气系统使用中性点或接地,以及三条火线,每条传输一个交流相位。每个相位都是一个正弦波,相差120 度,即周期的三分之一。每个相位在不同的时间达到峰值,使总电源看起来像是连续的直流电源。
25. 漏极和源极:涉及通过变频器和其它组件的数字输入和输出的电流。在漏极电路中,电流从电源流过负载,到达开关,然后到达接地。N P N 晶体管通常与漏极电路有关。在源极电路中,电流以相反的方向流动。P N P 晶体管通常与源极电路有关。
26. 转差:电机旋转磁场(由定子产生)和电机轴旋转之间的速度差。在感应电动机中产生转矩需要转差。
27. 12 脉冲整流:用于减少输入电流总谐波失真(T H D)。由于电流失真会导致电压失真,因此电压失真也会降低。12 脉冲整流需要一个双二极管桥式输入(每个6 个脉冲)和一个多相变压器。后者通过其中一个6 个脉冲输入二极管电桥之一,将电压波形偏移30°。该偏移可以消除第5 和第7 个谐波;它们约占THD 的75%,因此在额定工作点,输入电流的T H D 降至额定电流的10% 左右。

▎此图显示了一个 4 极的电机。
28. 18 脉冲整流:用于减少输入电流T H D。18 脉冲整流需要一个三重二极管桥式输入(每个6 个脉冲)和一个多相变压器。变压器通过6 个脉冲输入二极管电桥将电压波形偏移20°。该偏移可以消除第5、7、11 和13 个谐波。这4 个谐波约占THD 的90%,因此在额定工作点,输入电流的T H D 降低至额定电流的5% 左右。
29. 控制板:控制板是一块印刷电路板(P C B), 是用于连接外部设备和运行人员与变频器之间接口的主要组件。作为变频器的大脑,PCB 接受现实世界中的指令,如“运行”或“加速”,并执行目标功能。控制P C B 通常通过门驱动板与变频器的主电路连接。
30. 栅极驱动板:包含操作(门控)变频器输出晶体管所需电路的P C B。栅极驱动板还可以监控主电路的温度、电流和电压。通常,较小的变频器没有单独的栅极驱动器,而是将栅极与逻辑电源结合起来形成电源板。
31. 智能功率模块(I PM):用于某些变频器的输出部分。IPM 包括IGBT、门电路、热传感器和自我保护装置。与IPM 组件单独布置在外部PCB 上相比,IPM 包含在变频器套件中更方便,占用的空间也更小。
32. 复制键盘:一种变频器键盘,可以将编程存储到键盘本身的非易失性R A M 中。这些存储的参数通常可以加载到另一个需要相同编程的变频器中。
33. 交流永磁电机:永磁电机是一种同步交流电机。两种主要的交流永磁电机,包括表面安装和内部安装。与普通感应电机不同,在永磁电机正常运行期间,定子和转子之间没有转差。转子中没有I2R 损耗,因此P M电机的额定效率高于感应电机。由此带来节能和更小的尺寸,使永磁电机成为感应电机的有用替代品,尽管并非所有变频器都能操作永磁电机。

▎双接触器旁路是一种附件,允许电机通过线路或变频器运行。三接触器旁路可用于以比变频器输入电路效率更高的恒定速度运行电机。
34. 双接触器旁路:变频器的附件,允许电机通过线路或通过变频器运行。一个接触器安装在进线和电机之间,另一个安装在变频器输出和电机之间。双接触器旁路允许电机直接从进线运行,绕过变频器;在变频器故障的情况下,可直接从进线以恒定速度运行电机。
35. 三接触器旁路:允许电机在线路上或通过变频器运行的附件。一个接触器安装在进线和变频器输入之间,另一个(旁路)接触器安装在进线和电机之间,第三个安装在变频器输出和电机之间。这允许电机在线路运行时进行变频器维修,也可用于以比变频器输入电路效率更高的恒定速度运行电机。
36. V / F 模式:也称为V / H z 模式,这是一种通过变频器对交流感应电机进行简单控制的方法。根据基础电压和电机基础频率额定值确定比率。这个比率产生一个线性模式,变频器遵循该模式来产生额定电机转矩。电压与频率之比是机器中的磁通水平,它反过来决定了机器在给定工作点产生的扭矩量。
37. 开环矢量:一种复杂但有效的电机控制方法,允许变频器实现直流驱动控制的最佳特性(在较宽的速度范围内实现精确扭矩控制),无需直流电机的电刷维护和高初始成本。为了获得最佳性能,必须知道或准确估计电机转子的位置或偏差。在开环矢量控制中,由于缺乏实际的轴位置反馈,必须通过其它方法计算转子位置。然而,与闭环矢量操作相比,消除反馈装置、变频器输入和相关布线的成本节约,抵消了电机性能的轻微损失。

▎V/Hz 模式是一种通过变频器对交流感应电机进行简单控制的方法。
38. 闭环矢量:一种复杂但高效的电机控制方法,允许变频器实现直流驱动控制效益,而没有直流电机的物理限制。编码器或分解器等反馈装置,提供必要的电机转差信息,以闭合变频器输出频率和实际电机轴转速之间的回路。
39. 比例、积分和微分(PID):PID 控制算法广泛应用于整个工业控制。当通过添加反馈(空气流量、压力或液位等变量),创建过程回路并发送至变频器时,可通过P I D 回路控制调节变量。变频器的P I D 算法利用数学特性,来确定对系统设定值和反馈测量的实际状态之间变化的响应。
40. 自动调谐:变频器测试连接和空载电机,以确定最佳调谐参数的过程。
41. 短路电流额定值(S C C R):设备在短路事件中能够承受、而不会失去其外部完整性的最大电流。设备或设备组合的S C C R,应大于其输入端可能的故障电流。
42. 安培中断电流(AI C):在额定电压下,保护变频器的过电流保护装置打开而实现安全停机的对称电流量。

▎通过电流保护装置(OCPD)将下游的故障电流量降低到其通过电流额定值。
43. 允许通过电流:过电流保护装置(O C P D)通常打开,并允许低于最大故障电流的有限电流流过。O C P D 允许流过的电流称为“通过”电流。因此,O C P D 将下游的故障电流量降低到其通过电流额定值。故障电流必须在O C P D装置的范围内。
44. 现场总线:可用于自动化的通信网络,由用于传输消息的物理方式以及消息的结构定义。这些网络本质上是串行的。现场总线网络的物理实现可以由R S -485 或以太网组成。许多变频器都有内置的现场总线连接,尽管有些现场总线协议需要选项板。
45. R S -485 :串行网络标准,定义了工业环境中传输和接收信息的电气和物理特性。RS-485 的一个主要特点是,它是一种多点连接方案,允许许多设备仅使用两根或四根电线和一个屏蔽线进行远距离通信。
46. 以太网:一种定义网络设备或节点的硬件和消息传输规范。它由O S I模型的前两层:物理层( 电缆、R J45连接器)和数据链路层(即定义消息如何从一个设备传输到另一个设备)组成。

▎三电平输出是一种改进的输出 PWM 模式。
47. 协议:定义如何创建用于现场总线网络消息的一组规则。这些规则将详细说明如何构建和交付设备(如变频器)之间的通信。如果不使用网关设备,不同的协议通常不能在单个网络中混合使用。常见的协议示例包括E t h e r N e t /IP、DeviceNet、Profibus、Profinet、Modbus RTU 和Modbus TCP/IP 等。
48. 运行源:每个变频器都需要定义启动电机命令的来源。通常,启动命令有就地(如键盘)和远程(如网络命令)。通常可以通过键盘选择就地或远程指令源。需要注意的是,通常一次只能有一个指令源处于活动状态,其它所有指令源都将被忽略。
49. 参考源:指定变频器速度指令的来源。它也被称为频率参考,因为大多数变频器默认使用以H z 为单位的频率,作为默认的转速指令。有时,但并非总是,参考源与指令源出自同一个地方。
50. 三电平输出:一种改进的输出PWM 模式,使用额外的I G B T、中性点钳位和自定义开关模式,来实现三种可能的输出电压电平(E /2、0、- E /2,其中E /2 为直流母线中点电压)。变频器的三电平输出,自然会降低共模电压和噪声,并显著降低导致电机轴承过早故障的轴承电流。
审核编辑:汤梓红