时间:2022-07-14 14:57
人气:
作者:admin
引言
在机械工程中,由于生产需要,电机频繁处于启动、制动、反转过程,因此电机的启动和制动时间在很大程度上决定了其生产效率。为了缩短时间,采用转速负反馈的单闭环调速系统很难达到要求,而双闭环直流调速系统在单闭环控制的基础上增加了电流负反馈,获得了良好的性能。
1 他励直流电机的调速方法
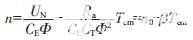
他励直流电机的机械特性是指在励磁电流、电枢电压和电枢回路总电阻一定的条件下,转速与电磁转矩的关系,即n=f(7)。他励直流电动机的机械特性表达式为:

式中,n0为理想空载转速:UN为电机额定电压:CE为直流电机的电动势常数:CT是电磁转矩常数:o是励磁磁通:Ra是电枢电阻:7em为电磁转矩:8为机械特性斜率,8越小,机械特性越硬。
他励直流电动机固有机械特性如图1所示。图中nN为电机额定转速,7N为额定电磁转矩。

他励直流电动机的调速方法有降低电枢电压的调速、降低电枢回路串电阻的调速和减弱磁通的调速3种。
2 双闭环直流调速系统的设计
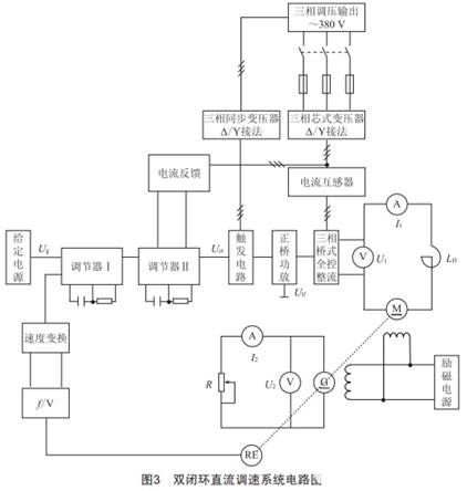
电动机调速系统(V-M系统)是通过调节晶闸管的控制角改变电动机电枢电压进而实现调速的,转速受负载影响比较大,因难以保持转速的稳定而无法满足生产工艺要求。所以,本文设计引入转速负反馈,根据转速的偏差自动调节整流电路的输出电压,从而保持转速稳定。为缩短启动时间,又加入了电流负反馈电路,形成双闭环控制电路,如图2所示。

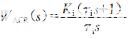
图2中的电流环ACR以跟随性能为主,采用P1型的电流调节器,其传递函数如下:

式中,Ki为电流调节器的比例系数:Ti为电流调节器的超前时间常数,s是拉普拉斯变换参数。
转速环AsR也采用P1型的转速调节器,其传递函数如下:

式中,Kn为转速调节器的比例系数:Tn为转速调节器的超前时间常数[2],s是拉普拉斯变换参数。
根据上述原理及分析,结合晶闸管构成的三相全桥整流电路,可获得双闭环直流电机调速系统的电路图,如图3所示。

其中,调节器1为速度调节器,调节器Ⅱ为电流调节器,系统工作时,改变给定电压Ug的大小就可以改变电动机的转速[3],速度调节器的输出作为电流调节器的给定,利用速度调节器的输出限幅达到限制启动电流的目的。电流调节器的输出作为触发电路的控制电压Uct[4]。实验中利用示波器观察波形,如图4所示,从波形上可以看出,全桥整流波形稳定,采用本文设计的双闭环调速系统,电机启动的超调量小。

3 结语
本文在转速控制单闭环调速系统的基础上,加入了电流负反馈,形成双闭环调速系统,设计P1调节器采用具有输入、输出限幅的电路,在电机启动和过载时能够限制电流,并且确保转速静差率≤1%,转速超调量≤10%,同时具有弱磁调速功能,提高了直流电机调速系统的调速性能、调速精度和系统稳定性等。
上一篇:何为双极性步进电机