时间:2022-07-25 17:49
人气:
作者:admin
在低温下运行的电子电路越来越受到重视,比如大家熟悉的“嫦娥一号” 卫星的微弱射频信号,就需要在20K(零下253℃)以下的低温工作环境工作,因为这样才可以极大降低接收机的噪声,提高了信号接收的灵敏度。同样,目前炙手可热的量子计算,量子本身是微观的效应,很容易受到干扰,而超低温可以获得低噪的效果,才能获得靠谱的存储,读取等功能。在这种背景下,低温的器件建模显得尤其重要。
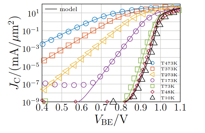
这次的低温报告来自于德国专注于半导体器件模型定制和抽出的一家公司。他们以SiGe:C HBTs技术作为切入点,从298K表征至4.3 K。振荡频率(fMAX) 在298K和4.3K下分别为300GHz和500GHz, 截止频率(fT)从317GHz增加65%至525 GHz,fT的增加在73K以下开始饱和。器件温度变化的物理原因可以由紧凑模型准确描述,也使用实验数据来验证模型扩展。文章也讨论了这些模型可以用于仿真和预估低温下的电路性能。这是第一次展示从室温到超低温的紧凑模型。


由于所有工业标准的紧凑模型都是为室温应用而开发的(基本在-40-125摄氏度之间),所以与超低温相关的几个重要现象没有被考虑到并可能出现严重的仿真收敛问题。因此,有必要建立适用于超低温的模型,即模型的扩展或者二次开发。在本次报告中使用了有物理基础的HICUM/L2模型用于为SiGe和III-V HBT建模,也可以应用到所有的商用电路仿真器。把模型嵌入PDK,首先碰到模型抽出问题。一般的EDA供应商提供的工具,不仅购买花费较大,有的也缺少灵活地拓展和嵌入参数提取流程的可能性。为此,公司开发了2个工具:第一个,VerilogAE会检索VA文件中所有的模型公式以及它们包含的变量,并直接将VA描述的模型公式编译成Python库,方便了在Python环境中对用Verilog-A所描写公式的直接调用和计算。第二个,基于Python库,开发了DMT(Device Modeling Toolkit) 软件,包含了数据处理、读取/写入、画图、电路仿真和参数提取以及优化。结合VerilogAE和DMT的强大功能,模型工程师可以高效完成表征、建模和参数提取工作。

DMT和VerilogAE任务处理的流程图;VerilogAE编译了VA文件公式

测试(符号)和模型(线形)仿真的传输电流的对比
DMT是通过Python开发的、面向对象的软件,其包含如下功能:
• 为提参提供解决方案
• 对经常遇到的器件工程中比较重要的任务提供对应的Python类(classes)和方法(methods)
• 为不同电路仿真器的接口提供基础类(classes),例如包含一些开源仿真器Ngspice和Xyce
DMT可以在如下任务中起到帮助:
• 分析、处理、图形化测试或者仿真数据
• 嵌入模型参数的提取流程
• 不同电路仿真器的接口
谁可以从两个工具中得到便利?
• 器件、模型和工艺工程师,使用基于Python的开源软件提高任务处理的灵活性以及节约经费,高效地进行提参
• 科研工作者,节约提取基于Verilog-A的紧凑模型参数的时间
• EDA供应商,无需使用额外编译器,通过VerilogAE编译VA文件到二进制代码,并直接进行仿真
所以总结下来,从这篇报告中可以看出,低温建模能力、专业的模型抽取软件和服务于电路仿真器的Verilog-A编译器是这家德国公司的特点。
编辑:黄飞
下一篇:电机控制系统的关键组件