时间:2010-06-29 08:42
人气:
作者:admin





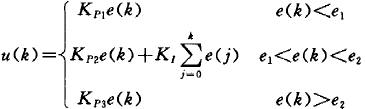
图1 分段圈
图1中,1和7表示在全速运动区间有正、负之分。以右为正,左为负;2和6分别表示在目标位置的左、右利用纯比例调节控制的区间;3和5分别表示需要利用常规PID算法的部分;4表示在小误差范围内利用比例积分控制。
上述分段是针对实际系统进行的分段,是适合这个系统的一个分段方法,它不仅在速度和精度上都可以满足要求,而且比我们所用过的其它方法都更加适合这个系统。
4 参数整定
由于我们研究的这个系统是一个位置精度要求比较高的系统,所以对参数的整定要求比较高,在不断实验的基础上总结出了一套适合本系统的通过近似计算得到参数的方法。
由于本系统是一个随动系统,建立系统精确的数学模型比较困难,只知道前向通道的放大倍数是N,电机饱和电压是U1以及电机的最大速度是v1。位置环参数的整定影响整个系统的精度和快速性,我们在不断实验的基础上,总结出如下方法:
(1)对系统进行相应的分段。分段是根据实验确定的,由于系统本身是复杂的非线性的高阶系统,所以分段是一个比较重要的环节,通过实验不断测试系统在不同情况下的阶跃响应,将其作为分段依据。
(2)确定最后算法部分的参数。我们对不同的位置采用不同的PID算法,其中转折部分的电压是一个比较关键的参数,根据实验,我们确定将通过算法输出的电压乘以前向通路的放大倍数作为加载到电机上的电压值,当然这个电压值必须使得电机在负载情况下还有速度。
(3)确定2段、6段的比例系数。这里的比例系数是通过两个转折点的电压和位移量来得到的,是一个线性的函数关系,即U输出=KPS位移。其中,U输出是算法输出部分;KP是2段、6段的比例系数;S位移是相对于目标位置的位移量。通过1和2或6和7之间的转折部分可以得到一组U输出、S位移,并通过2和3或5和6之间的转折部分又可以得到另一组U输出、S位移,从而确定KP。
(4)确定第4段的PID参数。通过以上得到的转折部分的电压值,我们有了起始电压,再根据得到的起始电压,就可以确定比例系数。确定这个比例系数时,必须使得积分和微分系数为0。通过这个比例系数的确定,我们就可以完全地通过计算得到所需要的参数。为满足精度的要求,根据经验加入适当的积分项就可以完成参数的整定。注意这里积分项加的越小越好,当然要在保证精度的范围内。
5 结 论
通过实验证明我们所得到的运动过程满足了快速性和精度的要求。在实验中总结出的方案是可行的,也是合理的。