时间:2010-06-29 10:40
人气:
作者:admin
Stepper Motor Fuzzy PID Control
Sun Pan Jun Yan Xue Wen
( School of Electronic Information Engineering Tai Yuan University of Science And Technology )
Abstract Stepper motor is a digital discrete motor, that is especial suitable for digital discrete control. But its mathematical model is highly nonlinear, PID control is difficult to achieve high precision performance, the paper combines the fuzzy control with PID control。According to set good error range, the system can achieve automatic switching.
Key words stepper motor PID Fuzzy control Parameter Self-tuning Mathematical Model Simulation
1前言
步进电机本质上是数字离散电机,直接接受数字量,将电脉冲信号转变成位移信号,即给一个脉冲信号,步进电机就转动一个角度。步进电机内部各控制变量高度非线性且相互耦合,而传统PID控制是以精确数学模型为基础的,无法有效应对系统的不确定信息,用不变的PID参数不可能达到较好的控制结果。模糊控制不需要对象的精确数学模型,对系统变化不敏感,鲁棒性好,抗干扰性强。但是由于它的模糊性,稳态精度不好。对于这种情况,可以把模糊控制和PID控制结合起来。
2混合式步进电机数学模型
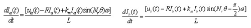
本文采用两相步进电机,在忽略互感、漏磁、磁滞、涡流、饱和等影响的情况下,我们采用可以对于一相用一等值有效RL电路绕组进行分析。
选用4拍步进方式,设以A相为基准,则B相滞后A相90电角度,则有以下电流方程:
根据力学定律可以写出电动机的机械运动方程:
![]()
其中 电机转矩, 为负载转矩, 为转动惯量, 为粘滞摩擦系数, 为转子角速度,假设负载转矩为零,则有以下微分方程:
![]()
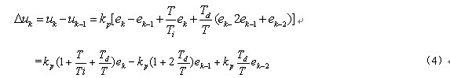
则式(1 )、(2)式、(3)、(4)组成了两相步进电机的数学模型,从中可以看到步进电机是一个高度非线性被控对象,这就要求控制方法非常复杂,而模糊控制正好适用这一特性。
3步进电机模糊PID设计
在工业控制中,PID控制是应用最广泛的模拟控制方法,用计算机对其采样进行离散化,可以实现数字PID公式

本文采用二维模糊控制系统,模糊推理输入模糊语言变量为偏差E和偏差变化率EC模糊域为[-3 3],输出为PID的三个变化增量 、 、 ,将输入模糊语言变量E .EC和输出模糊语言变量 的语言值选为都选为7个,即{负大(NB),负中(NM),负小(NS),零(Z),正小(PS),正中(PM),正大(PB)}。
设控量偏差和偏差变化率以及 、 、 的基本论域[-0.5 0.5]则可以确定量化因子和模糊因子

表1 KP模糊规则

表2 KI模糊规则

表3 KD模糊规则
模糊推理和解模糊也很重要,解模糊是根据模糊推理的结果,绘出控制量的过程,常用的方法有最大隶属度法 中位数法 加权平均法,最大隶属度具有梯形中断性不利于系统的稳定,而加权平均法有益于系统稳定,所以本文采用加权推理..

图2 步进电机模糊PID控制SIMULINK仿真模型
模糊控制器具有良好的动态特性,但是静态特性不能获得满意,而PID控制具有较高的稳态静态精度,。把PID控制引入模糊控制器中,大范围误差范围内采用模糊控制,在小范围误差换成PID控制,两者的转换由预先设置的程序控制根据误差范围自动实现。
4 仿真结果分析

在给定位置输入同样为10rad的情况下,图4最终也达到了要求,但是中间出了较大的抖动,而采用了模糊PID控制后,从图5可以看出系统响应更加迅速,并且超调量很小,过程的稳定性也大大的提高。说明采用模糊PID控制达到了控制系统的基本要求,比起单纯的PID控制确实具有优越性。
5 结束语
通过步进电机建模得到,步进电机是复杂的高度非线性系统,而本文的模糊PID控制系统,比普通的PID控制有了很大的提高,但是由于步进电机最大启动转速 的存在,造成易于失步和震荡,为了尽可能保持稳定性和的启动和停止时间,可以采用模糊自整定技术,通过改变KP的值,可以将步进电机直接启动速度和停转速度设置为一个小于 的值,这样系统的响应速度可以进一步提高。
参考文献
1 史敬灼. 步进电动机伺服控制技术[M ] 北京:科学出版社, 2006.
2 李庆春 一种PID 模糊控制器( fuzzy PI + fuzzy ID 型) 控制与决策 2009 年7 月第24 卷第7 期
3 刘卫国, 宋受俊三相反应式步进电动机建模及常用控制方法仿真微电机2007年第40卷 第8期(总第164期)
4 谢仕宏MATLAB R2008控制系统动态仿真实例教程(MATLAB应用丛书) 化学工业出版社2009年1月
5 王晓明 电动机的单片机控制 北京航空航天大学出版社2008 年06月
6 王宗培 步进电动机及其控制系统[M ]. 哈尔滨: 哈尔滨工业大学出版社, 1984
作者简介
孙攀军 (1984-)男 汉族 河南商丘 太原科技大学 07级研究生 控制理论控制工程
闫学文(1959-) 男 汉族 山西晋中 太原科技大学电子信息工程学院 教授硕导 控制理论控制工程