全球最实用的IT互联网信息网站!
AI人工智能P2P分享&下载搜索网页发布信息网站地图
博特激光:激光塑料焊接机的精密度不输于超声
阅读全文2023-07-10
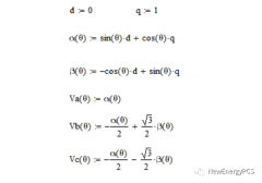
基于载波的SVPWM发波计算Mathcad实例
上架式工控机具有哪些特点?
西门子博途之POINTER 类型的参数
一文解析西门子S7-1200的Modbus RTU通信
800V扁线电机部分核心技术解析
扁线双U-Pin高效驱动电机的应用优势
浅析新能源汽车的四种电动机
浅析电动汽车的动力总成系统
电机对地绝缘为零还可以正常启动的原因
pwm控制的基本原理
日本HarmonicDrive哈默纳科谐波减速机的三大
支持工业4.0工厂的大规模定制、高质量和
机器视觉系统的主要工作流程是怎样的
CPU | 内存 | 硬盘 | 显卡 | 显示器 | 主板 | 电源 | 键鼠 | 网站地图
Copyright © 2025-2035 诺佳网 版权所有 备案号:赣ICP备2025066733号 本站资料均来源互联网收集整理,作品版权归作者所有,如果侵犯了您的版权,请跟我们联系。