时间:2014-09-22 10:12
人气:
作者:admin
信号调理电路: 所谓的信号调理,就是将各种待测信号进行前处理,即经放大或衰减变成适合于测量的信号。 因而,信号调理电路,就是衰减(可以用电阻衰减网络实现)或放大电路。当然,主要是指(高精度的)放大电路。
一、 比例放大电路


二、 差分放大电路

三 、仪用放大电路

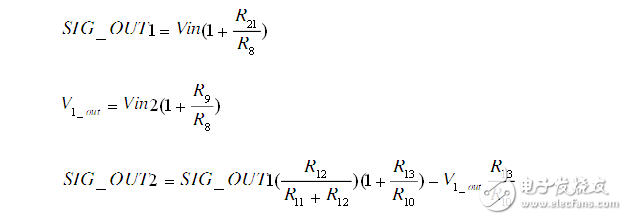
仪用放大电路是从差分放大电路变化而来的电路。具体的放大电路芯片可以使用:UA741;LM324;OP07;LF356;LM358等。
四 、心电监护整体原理设计图


电子发烧友网技术编辑点评分析:
根据信息处理的要求我们可以选择不同的信号放大方式,如同比放大、反向放大、差分放大等,不同的放大倍数供我们进行选择,对于心电监护整体电路设计是由两端输入,一端为外接直流电平,另一端为可调直流电平,同时经过不同的同相放大模块,然后经过差分放大完成信号的处理。
经典参考设计:
打造可穿戴设备:可穿戴式无线网络技术方案详解
十大可穿戴式计算机:导航鞋可显示目的地远近
可穿戴设备看俏 描绘智慧生活新蓝图
专注低功耗 解决可穿戴核心难题
德州仪器Meta Watch可穿戴蓝牙智能手表开发系统设计
可穿戴式无线网络核心技术及应用详解
精品下载资料:
EE Design之《可穿戴设计开发全攻略》
可穿戴式生命体征监护设备的研制
应可穿戴保健设备大势 ADI最新解决方案详解
可穿戴技术:低功耗与传感技术成为核心
大家如有问题,欢迎在评论处讨论。
——电子发烧友网整理,转载请注明出处!