时间:2009-04-27 08:59
人气:
作者:admin
注意:当+VLED和-VLED不与LED连接时,请勿给电路供电。
| Designation | Qty. | Description |
| C1 | 1 | 1nF ±10%, 50V X7R ceramic capacitor (0603) TDK C1608X7R1H102K |
| C2 | 1 | 220pF ±10%, 50V X7R ceramic capacitor (0603) TDK C1608X7R1H221K |
| C3, C4, C7 | 3 | 0.1µF ±10%, 50V X7R ceramic capacitor (0603) TDK C1608X7R1H104 |
| C5 | 1 | 10µF ±10%, 25V X7R ceramic capacitor (1206) TDK |
| C6 | 1 | 10µF ±10%, 16V X7R ceramic capacitor (1206) TDK C3216X7R1C475K |
| D1 | 1 | 40V, 1A Schottky diode (SMA) CMSH1-40M Central Semiconductor |
| L1 | 1 | 10µH inductor Coilcraft DO3308P-103 |
| Q1 | 1 | 40V, 0.045W MOSFET Vishay Si2328DS |
| R1, R3 | 2 | 499k ±1% resistor (0603) |
| R2 | 1 | 22.1k ±1% resistor (0603) |
| R4 | 1 | 73.2k ±1% resistor (0603) |
| R5 | 1 | 100k ±5% resistor (0603) |
| R6 | 1 | 150 ±1% resistor (0603) |
| R7 | 1 | 100 ±1% resistor (0603) |
| R8 | 1 | 10 ±5% resistor (0603) |
| R9, R10 | 2 | 1 ±1% resistor (0805) |
| R11 | 1 | 1 ±1% resistor (0805) |
| U1 | 1 | PWM IC Maxim: MAX16802AEUA (8-pin µMAX®) |
步骤1:计算最小输入电压下最佳占空比的近似值:
其中Rb为整流器电阻,与应用电路中的R11相同,在本应用中设定为1
。VD为整流二极管D1的正向压降。
将已知数值代入上式得到:
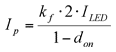
步骤2:计算峰值电感电流的近似值:
其中Kf为临界“误差系数”,这里设为1.1。
将已知值代入上式得到:
步骤3:计算所需电感的近似值,并选择小于并最接近于计算值的标准电感:
其中L为应用电路中的L1;f为开关频率,等于262kHz。
将已知值代入上式得到:
低于该值、最接近的标准值为10µH。
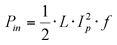
步骤4:通过反激工作过程传递到输出端的功率:
输出电路的损耗功率等于:
根据能量守恒原理,上述两个式子应该相等,即可得到一个更精确的峰值电感电流:
其中L为实际选择的标准电感值。
将已知数值代入上式可得:
步骤5:计算检流电阻,由R9和R10并联而得;计算电压检测分压电阻(如果需要),由R6和R7组成。
MAX16802的限流门限为291mV。因此选择R9、R10、R6和R7,满足步骤4所计算的电感峰值电流。
这步完成后,即可得到应用电路中的各个元件值,该电路可提供12V、350mA输出。因为存在寄生效应,因此电阻值(R7)需要进行适当调整,以得到所期望的电流。
步骤6:R1和R2可选。它们用于调整+VLED至29V。这在输出端出现意外开路时非常有用。如果没有上述元件的分压,输出电压有可能上升,导致器件损坏。
元件C1和R5也为可选,用于稳定电压反馈环路。对于当前应用,可以不使用这些元件。
利用下面电路可实现PWM亮度调节。
