时间:2009-05-15 22:32
人气:
作者:admin
1 引 言
现代数字调制技术的发展,使得传输速率和频谱的利用率进一步得到提高,功率更加节省。在相同的码元速率下,多进制系统的信息传输速率显然比二进制系统高,但信息速率的提高是以牺牲功率为代价的。显然增大码元宽度,就会增加码元的能量,同时也减少了由于信道特性引起的码间串扰等。恒包络调制适用于限带非线性信道中,能有效地防止非线性引起的幅相效应,节省功率,提高频谱的利用率。多进制调制和恒包络调制这两种技术结合在一起能取得更好的调制效果。
2 π/4-QPSK信号的特征
π/4-QPSK位相调制技术是在现代移动通信中使用较多的一种线性调制方法,它是在常规QPSK调制基础上发展起来的。其相位跳变值是nπ/4(n=±1或±3),在QPSK中,180度相位翻转对应有丰富的功率谱旁瓣能量,限带引起的包络起伏将通过非线性功放的AM/PM,和AM/PM转换效应导致可观量值的频谱扩散,使旁瓣干扰增大和限带滤波作用抵消。与QPSK相比,π/4-QPSK限带滤波后有较小的包络起伏,在非线性信道中有更优的频谱效率。图1给出了QPSK和π/4-QPSK信号状态转迁轨迹。

图1(a)中QPSK共有4个相位状态其中一个状态可以转换为其它3个状态中的任意一个,因而存在着180度的相位跳变,图1(b)中有8个相位状态,可以认为这8个相位点是由两个QPSK信号迭加而成的。相位跳变被限制在4个相位点之间,每个信号只用其中的一个QPSK星座点传送出去,全部状态转迁在两组QPSK信号相位状态之间完成,图1中分别以白点和黑点表示两组QPSK信号,相隔π/4。相位转迁只能由白点组转到黑点组,或相反。因而π/4-QPSK可能出现的最大相位跳变为±π/4和±34/π,与QPSK 相比,有较小的包络起伏,在非线性信道有更优的频谱效率。
3 π/4-QPSK信号的调制方式
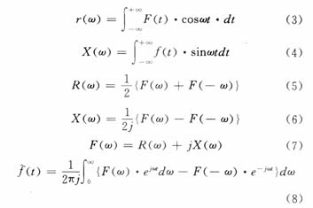
在QPSK调制方式中,信号可以表示为:
式中,A为系数,Tb为一个符号周期或叫码元周期时间,ω为载波信号的角频率,θk为第k个码元周期的位相函数,它共有4种相位取值,在任一码元持续时间内θk将取其一。当θk=π/4(2n+1),n=0,1,2,3时,QPSK系统称为π/4-QPSK系统。π/4-QPSK利用载波的不同相位来表示输入的数字信息,每一种状态可用二位二进制码来表示。因此对输入的二进制数字序列应先进行分组,将每二个数字信息编为一组,其信息比特与相移的对应关系可列为表1。

π/4-QPSK调制器的硬件实现可用图2来表示。

输入比特流由串/并转换器分成两个并行比特流,其比特率为一半的符号速率。
4 进一步的瞬时位相的π/4-DQPSK调制
基于π/4-QPSK调制方式之上的π/4-DQPSK调制是在调制之前对发送数据进行差分编码,信息通过相对于前一信号间隔的相移来反映。在π/4-DQPSK位相调制技术中信号相邻码元之间的最大位相差的绝对值为3/4π,同一位相之间必有π/4弧度的位相迁移等优点。但位相跳变会增大信号的谐波分量,消耗一定的功率。这里介绍一种新型的π/4-DQPSK调制方式,可在信号不丢失的情况下,消除3/4π位相跳变。
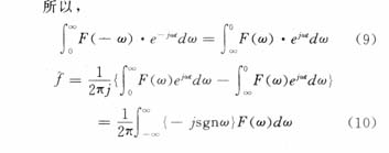
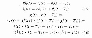
与前面(1)式相比较,当用π/4-DQPSK位相调制时,f(t)的指数表达式可为
![]()



以上是主要的数学推导,最后得到的式(16)就表示新型的π/4-DQPSK差分位相调制方式,它与(2)式是一致的。它是在π/4-QPSK调制基础上建立并进一步完善的调制方式,主要特点是其信号要经过Hilbert变换。

5 GSMK与π/4-QPSK的比较
泛欧GSM标准采用GSMK调制方式,这种恒包络技术在非线形移动通信信道具有较好的性能,电源效率高。
GSMK与π/4-QPSK的比较见表2。
通过上述分析可以看出π/4-QPSK调制方式在许多方面优于GSMK方式。π/4-QPSK具有较高的频谱效率和功率利用性能,非常适合移动通信应用。
参考文献
上一篇:电动机转速的微机测量系统
下一篇:CD4040制作的电子电位器